10-K: Annual report [Section 13 and 15(d), not S-K Item 405]
Published on March 27, 2019
UNITED STATES
SECURITIES AND EXCHANGE COMMISSION
WASHINGTON, DC 20549
FORM 10-K
| x | ANNUAL REPORT PURSUANT TO SECTION 13 OR 15(d) OF THE SECURITIES EXCHANGE ACT OF 1934 |
For the fiscal year ended: December 31, 2018
OR
| ¨ | TRANSITION REPORT PURSUANT TO SECTION 13 OR 15(d) OF THE SECURITIES EXCHANGE ACT OF 1934 |
For the transition period from _________________ to ______________________
COMMISSION FILE NUMBER: 001-38365
EYENOVIA,
INC.
(Exact name of Registrant as Specified in Its Charter)
| DELAWARE | 47-1178401 | |
| (State or Other Jurisdiction of Incorporation or Organization) |
(I.R.S. Employer Identification No.) | |
| 295 Madison Avenue, Suite 2400 NEW YORK, NY |
10017 | |
| (Address of Principal Executive Offices) | (Zip Code) |
Registrant’s telephone number, including area code: (917) 289-1117
Securities registered pursuant to Section 12(b) of the Act:
| Title of each class | Name of each exchange on which registered | |
| Common Stock, $0.0001 Par Value | The Nasdaq Stock Market LLC |
Securities registered pursuant to Section 12(g) of the Act: none
Indicate by check mark if the registrant is a well-known seasoned issuer, as defined in Rule 405 of the Securities Act. Yes ¨ No x
Indicate by check mark if the registrant is not required to file reports pursuant to Section 13 or Section 15(d) of the Act. Yes ¨ No x
Indicate by check mark whether the registrant: (1) has filed all reports required to be filed by Section 13 or 15(d) of the Securities Exchange Act of 1934 during the preceding 12 months (or for such shorter period that the registrant was required to file such reports), and (2) has been subject to such filing requirements for the past 90 days. Yes x No ¨
Indicate by check mark whether the registrant has submitted electronically every Interactive Data File required to be submitted pursuant to Rule 405 of Regulation S-T during the preceding 12 months (or for such shorter period that the registrant was required to submit such files). Yes x No ¨
Indicate by check mark if disclosure of delinquent filers pursuant to Item 405 of Regulation S-K is not contained herein, and will not be contained, to the best of the registrant’s knowledge, in definitive proxy or information statements incorporated by reference in Part III of this Form 10-K or any amendment to this Form 10-K. ¨
Indicate by check mark whether the registrant is a large accelerated filer, an accelerated filer, a non-accelerated filer, a smaller reporting company, or an emerging growth company. See the definitions of “large accelerated filer,” “accelerated filer,” “smaller reporting company,” and “emerging growth company” in Rule 12b-2 of the Exchange Act.
| Large accelerated filer ¨ | Accelerated filer ¨ |
| Non-accelerated filer x | Smaller reporting company x |
Emerging growth company x
If an emerging growth company, indicate by check mark if the registrant has elected not to use the extended transition period for complying with any news or revised financial accounting standards provided pursuant to Section 13(a) of the Exchange Act. ¨
Indicate by check mark whether the registrant is a shell company (as defined in Rule 12b-2 of the Act). Yes ¨ No x
The aggregate market value of the voting and non-voting common equity held by non-affiliates computed by reference to the price at which the common equity was last sold as of June 30, 2018 (based on the closing price of $6.30 on June 29, 2018, the last business date of the registrant’s most recently completed second fiscal quarter), was approximately $35,204,910. Common stock held by each officer and director and by each person known to the registrant who owned 10% or more of the outstanding voting and non-voting common stock have been excluded in that such persons may be deemed to be affiliates. This determination of affiliate status is not necessarily a conclusive determination for other purposes.
The number of outstanding shares of the registrant’s common stock was 12,019,148 as of March 20, 2019.
DOCUMENTS INCORPORATED BY REFERENCE
Portions of the registrant’s proxy statement for its 2019 Annual Meeting of Stockholders currently scheduled to be held on June 11, 2019 are incorporated by reference into Part III hereof.
TABLE OF CONTENTS
CAUTIONARY NOTE REGARDING FORWARD-LOOKING STATEMENTS
This report contains a number of “forward-looking statements.” Specifically, all statements other than statements of historical facts included in this report regarding our financial position, business strategy and plans and objectives of management for future operations are forward-looking statements. These forward-looking statements are based on the beliefs of management at the time these statements were made, as well as assumptions made by and information available to management at that time. When used in this report and the documents incorporated by reference herein, the words “anticipate,” “believe,” “estimate,” “expect,” “may,” “might,” “will,” “continue” and “intend,” and words or phrases of similar import, as they relate to our financial position, business strategy and plans, or objectives of management, are intended to identify forward-looking statements. These statements reflect our view, as of the date hereof, with respect to future events and are subject to risks, uncertainties and assumptions related to various factors.
You should understand that the following important factors, in addition to those discussed in our periodic reports to be filed with the Securities and Exchange Commission, or the SEC, under the Securities Exchange Act of 1934, as amended, or the Exchange Act, could affect our future results and could cause those results to differ materially from those expressed in such forward-looking statements:
| · | risks involved in clinical trials, including, but not limited to, the costs, design, initiation, timing, progress and results of such trials; |
| · | our estimates regarding the potential market opportunity for our product candidates; |
| · | our ability to develop and implement our commercialization, marketing and manufacturing capabilities and strategies; |
| · | our expectations related to the use of proceeds from our offerings; |
| · | our expectations regarding our ability to fund our operating expenses and capital expenditure requirements with our cash on hand and proceeds from our prior offerings; |
| · | the potential advantages of our product candidates; |
| · | the rate and degree of market acceptance and clinical utility of our products; |
| · | our intellectual property position; |
| · | our ability to identify additional products, product candidates or technologies with significant commercial potential that are consistent with our commercial objectives; |
| · | our ability to attract and retain key personnel; |
| · | our estimates regarding expenses, future revenue, timing of any future revenue, capital requirements and needs for additional financing; |
| · | the impact of government laws and regulations; |
| · | our competitive position; |
| · | developments relating to our competitors and our industry; |
| · | our ability to maintain and establish collaborations or obtain additional funding; |
| · | general or regional economic conditions; |
| · | changes in U.S. GAAP; and |
| · | changes in the legal, regulatory and legislative environments in the markets in which we operate, including impacts of United States government shut-downs on our ability to raise money and obtain regulatory approval for our products. |
| 1 |
Although we believe that our expectations (including those on which our forward-looking statements are based) are reasonable, we cannot assure you that those expectations will prove to be correct. Should any one or more of these risks or uncertainties materialize, or should any underlying assumptions prove incorrect, actual results may vary materially from those described in our forward-looking statements.
Except for our ongoing obligations to disclose material information under the federal securities laws, we undertake no obligation to publicly update or revise any forward-looking statements, whether as a result of new information, future events or any other reason. All subsequent forward-looking statements attributable to us or any person acting on our behalf are expressly qualified in their entirety by the cautionary statements contained or referred to herein. In light of these risks, uncertainties and assumptions, the forward-looking events discussed in this report and the documents incorporated by reference herein might not occur.
| Item 1. | Business. |
Corporate Information
We were organized as a corporation under the laws of the State of Florida on March 12, 2014 under the name “PGP Holdings V, Inc.” On May 5, 2014, we changed our name to Eyenovia, Inc. On October 6, 2014, we reincorporated in the State of Delaware by merging into Eyenovia, Inc., a Delaware corporation. Our principal executive office is located at 295 Madison Avenue, Suite 2400, New York, NY 10017, and our phone number is 917-289-1117. Our website is http://www.eyenoviabio.com. Information contained on, or that can be accessed through, our website is not incorporated by reference into this report, and you should not consider information on our website to be part of this report.
Overview
We are a clinical stage ophthalmic biopharmaceutical company developing a pipeline of microdose therapeutics utilizing our patented piezo-print delivery technology, branded the OptejetTM. Eyenovia aims to achieve clinical microdosing of next-generation formulations of well-established ophthalmic pharmaceutical agents using its high-precision targeted ocular delivery system, which has the potential to replace conventional eye dropper delivery and improve safety, tolerability, patient compliance and topical delivery success for ophthalmic eye treatments. In the clinic, Optejet has demonstrated up to a 75% reduction in ocular drug and preservative exposure, with successful topical delivery that is consistent with the efficacy of traditional eye drop administration. Using its proprietary delivery technology, Eyenovia is developing the next generation of smart ophthalmic therapies while targeting new indications for which there are currently no drug therapies approved by the United States Food and Drug Administration, or the FDA. Eyenovia’s microdose therapeutics follow the FDA-designated pharmaceutical registrational and regulatory process. Its products are not classified by the FDA as medical devices or drug-device combination products.
Eyenovia has completed its Phase III trials for MicroStat and announced positive results from the MicroStat MIST-1 and MIST-2 studies. MicroStat is a fixed combination formulation of phenylephrine-tropicamide for mydriasis (pupil dilation), designed to be a novel approach for the estimated 80 million office-based comprehensive and diabetic eye exams and four million ophthalmic surgical dilations performed every year in the United States. Additionally, in February 2019, the FDA accepted Eyenovia’s investigational new drug application, or IND, to initiate our Phase III registration trial of MicroPine to reduce the progression of myopia in children. MicroPine is a first-in-class topical therapy for the treatment of progressive myopia, a back-of-the-eye ocular disease associated with pathologic axial elongation and sclero-retinal stretching affecting approximately five million people. We also have received clear feedback from the FDA regarding the requirements for Phase III trials for our MicroProst program. MicroProst is a novel latanoprost formulation for lowering intraocular pressure, or IOP, in patients with ocular hypertension, or OHT, primary open angle glaucoma, or PAOG, and chronic angle closure glaucoma, or CACG. MicroTears, our over-the-counter, or OTC, product candidate for hyperemia (red eye), pruritis (itch) and dry eye, will not require Phase III trials, and we plan to proceed with registration activities for MicroTears in 2019.
Results from our three Phase II clinical trials have been published in peer-reviewed literature. Two studies evaluating our mydriatic agents demonstrated how the Optejet consistently delivered precision dosing at the volume of the eye’s natural tear film capacity of 6-8 µL, which reduced ocular and systemic drug and preservative exposure, while demonstrating pupil dilation comparable to conventional eye drops with fewer side effects. In the third study, we evaluated usability, patient tolerability and IOP lowering of microdosed latanoprost administered with the Optejet. In this study, eyes receiving microdosed latanoprost achieved IOP reduction consistent with published literature on latanoprost eye drops, and administration of the medication was successful in a single attempt in more than 90% of cases. Based on the results from these clinical trials, we were able to advance MicroStat into Phase III utilizing the 505(b)(2) pathway and plan to do the same with MicroPine and MicroProst. Where possible, we also intend to use this pathway for future clinical trials in new indications with significant unmet needs.
| 2 |
A key feature of the Optejet is the embedded electronic, smartphone enabled “e-health” system, which we believe is the first intelligent electronic delivery system for ophthalmic therapies. Our electronic functions are designed to enable patients and physicians to track when doses are administered to better monitor and improve patient compliance.
The following summarizes our product pipeline and next expected milestones:
| Product Candidate |
Indication | Next Expected Milestones | ||
| MicroStat | Mydriasis (Eye Dilation) | NDA Filing (2020) | ||
| MicroPine |
Pediatric Myopia Progression (Near-Sightedness) |
Phase III Start (2019) | ||
| MicroProst | IOP Lowering in CACG, OACG, OHT | Phase III Start (2019) | ||
| MicroTears | Hyperemia (Red Eye), Pruritis (Itch), Dry Eye | OTC Monograph Registration (2019) |
Our Strategy
Our goal is to become a leading ophthalmic biopharmaceutical company focused on developing and commercializing a strong pipeline of first-in-class microdose therapeutics and a digital health platform for interactive patient care. The key elements of our strategy to achieve this goal are:
Establish a portfolio of first-in-class piezo-print micro-therapeutic products for multiple eye treatments through the 505(b)(2) pathway with the FDA. We are initially focused on integrating our next-generation technology with therapeutic compounds already well established in the topical treatment of ophthalmic indications. We believe that the 505(b)(2) registration pathway, which reduces development risk compared to new molecular entity programs by working with known compounds with well-established safety and efficacy profiles, will be available for our initial development pipeline. We believe our pipeline of patented micro-therapeutic product candidates will be highly differentiated by our improved tolerability and enhanced compliance profile and our late-stage development programs could lead to New Drug Application, or NDA, submissions in novel indications where the products can have unique dosing and therapeutic profiles. We believe that this could lead to favorable pricing and reimbursement, and a reduced risk of generic substitution.
Improve clinical outcomes and patient experiences while providing an improved tolerability profile with our micro-therapeutics. We believe the Optejet will allow for high precision targeted microdosing for multiple eye treatments, while eliminating ophthalmic over-dosing and reducing ocular exposure to toxic preservatives and pharmacologic ingredients compared to conventional eye drop delivery mechanisms. Our clinical trials have demonstrated similar efficacy to eye drops, improved side effect profile and enhanced patient experience with the Optejet as compared to conventional eye drops.
Leverage our electronic, smartphone-enabled “e-health” technology to introduce and develop patient-specific compliance monitoring program. The mobile e-health technology within the Optejet is designed to track when a patient administers treatments, allowing physicians to monitor patient compliance accurately. We believe this may enhance patient compliance and improve compliance monitoring by empowering patients and physicians with access to dynamic, real-time monitoring and compliance data for a more intelligent, informed and personalized therapeutic paradigm.
Develop microdose treatments for other ophthalmic diseases independently or in collaboration with third parties. The Optejet may also be suitable for new molecular entities and applications. Leveraging our existing platform technology, Eyenovia plans to continue developing, either independently or through strategic relationships with third parties, other product candidates for various eye diseases that can be administered using the Optejet and additional applications for the Optejet. We have entered into an exclusive agreement with Senju Pharmaceuticals Co., Ltd., a leading ophthalmology company in Japan, for the Asian development and commercial rights of our therapies and technology.
Develop solutions for ophthalmic conditions with high unmet needs and no approved therapy. We plan to target chronic ophthalmic conditions with a high unmet medical need. By leveraging our piezo-print microdosing technology, we aim to reach conditions where there are no approved drug therapies. For example, our MicroPine program involves a proprietary formulation of low-dose atropine intended to slow myopia progression in the pediatric population. There are currently no commercially-available therapies in the United States to treat this indication.
| 3 |
Limitations of Conventional Eye Therapies
Our microdosing platform technology aims to address the following issues associated with conventional eye drop-based therapies:
Dosing, administration and waste of medication
Multiple third-party studies have confirmed the challenges with administering conventional eye drops including overdosing, poor compliance, imprecise dosing, variability in drop size, and patient difficulty in self-administering. One study in patients who were experienced in using eye drops and undergoing treatment for glaucoma for at leastsix months documented that nine out of 10 patients were unable to deliver topical treatment correctly at the end of the six-month treatment. Patients on average administered almost twice the macrodose with a range of one to eight drops (1.8+/-1.2), and 75% of patients risked bottle contamination or potential ocular trauma by having the eye dropper container touch their eyes. Another larger study in 139 patients demonstrated that the proportion of patients who were able to correctly deliver therapy on the eye was only 22%–30%. Similarly, other studies have demonstrated that the vast majority of patients either overdose or do not administer correctly the required therapy to the eye, which leads to unnecessary waste of medication.
Side effects associated with conventional macrodose therapies
Conventional eye therapies are administered using traditional eye-dropper pipette approaches. Current eye drop therapies can overdose the eye with 30–50 µL of preservatives and pharmaceutical ingredients while the eye only holds 6–8 µL. Thus, traditional drops can severely overdose the eye, which can be associated with ocular side effects including hyperemia, or increased blood flow to the eye, redness, discomfort, stinging, blurred vision, burning, itching, excessive tearing, eye pain, iris pigment changes, foreign body sensation, pigment discoloration, periorbital dermatitis and sunken eye. For some topical medications, there are also cardiovascular side effects such as bradycardia and arrhythmia that are caused when medications are absorbed into the circulation system from overdosing —both through conjunctiva absorption and when drugs flow into the nose through the naso-lacrimal duct and are absorbed in the nose or swallowed. For example, phenylephrine can cause cardiovascular adverse reactions including an increase in blood pressure, syncope, myocardial infarction, tachycardia, arrhythmia and subarachnoid hemorrhage. Severe respiratory reactions and cardiac reactions, including death due to bronchospasm in patients with asthma, and rarely death in association with cardiac failure, have been reported following systemic or ophthalmic administration of timolol maleate.
Prostaglandins are a widely-used class of drugs for glaucoma. However, as shown in the chart below, they present a high risk of ocular irritation and adverse events. We believe microdosing will result in fewer adverse events due to less exposure to the drug and preservatives.
| Frequencies of Adverse Events (Safety Population) | ||||||||||||||||||||||||||||||||||||||||||||
| Latanoprost (n = 136) | Bimatoprost (n = 137) | Travoprost (n = 138) | ||||||||||||||||||||||||||||||||||||||||||
| n | % |
No. of Events |
n | % |
No. of Events |
n | % |
No. of Events |
P Value |
|||||||||||||||||||||||||||||||||||
| Patients with at least one adverse event | 87 | 64 | 137 | 104 | 75.9 | 200 | 95 | 68.8 | 159 | 0.098 | ||||||||||||||||||||||||||||||||||
| Patients with ocular adverse events | 73 | 53.7 | 110 | 101 | 73.7 | 162 | 89 | 64.5 | 129 | 0.003 | ||||||||||||||||||||||||||||||||||
| Patients with systemic adverse events | 23 | 16.9 | 27 | 25 | 18.2 | 38 | 23 | 16.7 | 30 | 0.933 | ||||||||||||||||||||||||||||||||||
| Patients with adverse events related to study medications | 70 | 51.5 | 90 | 94 | 68.6 | 140 | 81 | 58.7 | 108 | 0.015 | ||||||||||||||||||||||||||||||||||
Parrish R et al., “A comparison of latanoprost, bimatoprost and travoprost in patients with elevated intraocular pressure: a 12-week, randomized, masked-evaluator multicenter study.” Am J Ophthalmol. 2003 May; 135(5):688-703.
Potential for toxicity
Many eye medications contain preservatives (e.g. benzalkonium chloride or BAC) that are toxic to the ocular surface. Cytotoxic assays have confirmed this and showed significant toxicity proportional to the concentration of BAC and its effects in causing ocular surface disease.
Another emerging problem with the prostaglandin-class of medications (e.g. latanoprost, bimatoprost, and travoprost) has been the dose-related incidence of orbitopathy (or sunken orbits). The associations between prostaglandin analogue use and deepening of the upper lid sulci and between prostaglandin analogue use and loss of inferior periorbital fat have been reported to have a 230-fold increased risk of skin tissue shrinking around the eye.
| 4 |
Our Solution


The Optejet delivers doses of 6 – 8 µL, directly coating the corneal surface where 80% of intraocular drug penetration occurs. We believe that microdosing may reduce drug and toxic preservative exposure by more than 75%, thus reducing ocular irritation, and resulting in potentially gentler treatments without compromising the desired clinical effect. Our approach could also reduce inadvertent waste associated with poor administration of conventional macrodose drops.
We believe that we are one of the only companies with clinical stage technology for targeted microdosing of ophthalmic investigational therapies. The Optejet is based on piezo-print technology, which is also used for pixel-sharp high-precision inkjet printing. The technology is optimized for and applied in ophthalmic delivery to achieve microdosing that can be many times more precise than conventional eye droppers. In addition, our smart, electronic system provides the capability to track when patients administer their medications and deliver this information to patients and physicians via Bluetooth connectivity. Thus, physicians can make decisions regarding therapeutic regimens with knowledge of patient compliance.
The FDA has provided written feedback that our clinical development activities will be treated as drug development programs, because only the drug comes into contact with the eye. Consequently, we do not anticipate needing separate FDA approval for the Optejet dispenser or being required to comply with FDA medical device regulations.
Microdose administration of topical ophthalmic drugs with the Optejet has been tested in preclinical models and clinical trials and shown to provide many advantages over administrations of eye drops. Key advantages of the Optejet include:
Dose reduction: Our microdose delivery technology is designed to achieve precise volumetric control at the microliter level to deliver 6–8 µL, which is the physiologic capacity of the tear film. This compares favorably to the volume of an eye drop (30–50 µL), which can result in overdosing, ocular toxicity and systemic leaching into the plasma.

Targeted dose instillation: The Optejet allows for targeted delivery to the ocular surface and cornea, avoiding the conjunctival cul-de-sac. The micro-jet spray created by the piezo-electric vibrations is columnated and focused to provide accurate delivery to the corneal surface where the majority of ocular penetration occurs. Additionally, the Optejet is designed with an LED targeting mechanism to facilitate proper positioning and objective alignment, thus increasing the likelihood of successful dose delivery.
| 5 |

Speed of delivery: Our piezo-print technology is similar to high-precision ink-jet printing. Unlike a simple aerosolized mechanism, the Optejet is designed with ejection control that creates a fast and targeted micro-jet delivery. Solution is dispensed to the ocular surface in approximately 80 milliseconds, beating the eye’s 100-millisecond blink reflex.

Smart electronics: Our smart electronics and mobile e-health technology are designed to track when a patient administers treatment. This enables physicians to monitor patient compliance. We believe this technology will improve compliance and chronic disease management by empowering patients and physicians with access to dynamic, real time monitoring and compliance data for a more intelligent and personalized therapeutic paradigm.
Clinical Trial Results
We have an established platform for microdose administration of ophthalmic solutions. Our preclinical and clinical studies suggest that a 7 µL (±2) microdose of medication delivers clinical efficacy comparable to that of traditional eye drops, but with the advantages of fewer ocular side effects and less systemic exposure. We can use our platform technology on either new molecular entities or with existing molecular entities in order to improve their safety profile. We have chosen the latter path for our initial pipeline product candidates.
To date, we have conducted multiple preclinical studies and three early phase clinical trials to validate our piezo-print microdose delivery platform. Our microdose approach was studied in preclinical studies to demonstrate pharmacodynamic equivalence of our targeted micro-therapeutic formulations and to assess whether microdosing can achieve comparable biologic activity with its significantly lower levels of drug and preservative exposure to the ocular tissues. Data from a canine model of glaucoma demonstrated more than 40% IOP lowering effect at microdose of 8–9 µL latanoprost. Another independent microdose study published in the Journal of Investigative Ophthalmology and Visual Science in 2014 further demonstrated that 3 µL microdose with timolol 0.5% can reduce systemic plasma levels of the drug by a factor of 17.
| 6 |

IOP Lowering Effect of Micro-Therapeutic Dose of Latanoprost in Canine Model

Two of our clinical trials investigated the pharmacodynamic equivalence and clinical advantages of our microdose approach for achievement of mydriasis. In these studies, we compared pupil dilation with a microdose of phenylephrine versus a traditional phenylephrine eye drop, and also the rate of side effects with microdosing as opposed to eye drops. Results of these two studies suggest that the Optejet can deliver equivalent therapeutic activity as conventional eye drop dosing while reducing the incidence of side effects.
The EYN-1601 clinical trial, referred to as EYN, compared the mydriatic pharmacodynamic effect of phenylephrine 10% microdosed (~ 7 µL in volume) with the Optejet to phenylephrine 10% (PE 10%) and phenylephrine 2.5% (PE 2.5%) eye drops (each ~32 µL in volume) in 24 subject eyes. At 75-minute peak dilation, our microdose provided similar mydriatic results (at one quarter of the dose exposure) to the 10% phenylephrine drops, and superior activity compared to 2.5% phenylephrine drops.
| 7 |
Shown below is mean pupil diameter change from baseline for the 24 eyes studied. The colored asterisk at t=75 min indicates EYN is statistically better than PE 2.5% (p=0.009).
PUPIL DIAMETER, INCREASE FROM BASELINE, MM

This study was also informative with regard to systemic drug exposure of topical treatments. As shown below, microdosed phenylephrine 10% (EYN1) demonstrated 35–40% lower plasma levels of the drug as compared with phenylephrine 10% eye drops (PE 10%).

As shown in the table below (Ocular AEs by Treatment), there were also fewer ocular adverse events in the microdose group and our microdose administered phenylephrine 10% (EYN) suggested an improvement in tolerability as compared to 10% phenylephrine eye drops (PE 10%).
| 8 |
| OCULAR ADVERSE EVENTS BY TREATMENT | ||||||||
| Adverse Event Description | PE 10% (Eyedrops) | EYN
(PE 10% microdose) | ||||||
| Ocular blurriness | 1 | 0 | ||||||
| Ocular burning/stinging/irritation | 4 | 1 | ||||||
| Ocular dryness | 2 | 0 | ||||||
| Subtotal by Treatment Group | 7 | 1 | ||||||
The EYE-103 study investigated a combination of phenylephrine and tropicamide treatment administered using the Optejet compared to conventional eye drops in 102 subjects (204 eyes). In this study, microdosing produced equivalent dilation to eye drops and 91% of participants preferred medication administration with the Optejet versus eye drops (6% preferred eye drops, while 3% expressed no preference [p < 0.0001]). On a scale of 1 to 10, with 10 being most favorable, general satisfaction scores were higher with Optejet administration versus eye drops (9.8 ± 0.6 for Optejet vs 5.8 ± 3.0 for eye drops). Ocular comfort scores were nearly two times better with the Optejet than with eye drops.

In 2018, Eyenovia completed a third trial (EYN-POC-PG-21) to extend the findings of the two previous trials evaluating Optejet administration of mydriatic agents. This study was a single-center, open-label, prospective, crossover design evaluating the usability, patient tolerability, and proof-of-concept of microdose administration of commercial latanoprost 0.005% using the Optejet. Thirty healthy volunteer subjects (60 eyes) were evaluated for eligibility and consented to study participation. Subsequently, at each of three treatment visits, IOP was measured in the morning. Afterwards, on Treatment Days 1 and 2, a single 8-µL microdose of latanoprost 0.005% opthalmic solution was administered to each eye using the Optejet. On the morning of Treatment Day 3, each subject received 2 × 8-µL Optejet microdoses (administered approximately 5 minutes apart) in one eye and the other eye received a single eye drop of latanoprost 0.005% ophthalmic solution. For each treatment day, IOP was measured 1, 7, 12, and 24 hours after receiving medication and a mean diurnal IOP (DIOP) was calculated from the four readings. As shown below, mean DIOP after medication administration on Days 1 and 2 was lowered by 25.0% and 28.7%, respectively.

Mean bilateral DIOP and percent change in DIOP in eyes dosed using the Optejet through
Treatment Day 2 (N = 29 pairs of eyes from 29 evaluable subjects)
As shown below, on Day 3, mean DIOP was 35.5% lower than baseline for eyes receiving microdose latanoprost 0.005% using the Optejet, and was 35.0% lower than than baseline for eyes receiving a single drop of latanoprost 0.005%.
| 9 |

DIOP at Day 3 (N=29 Eyes of 29 Subjects per Treatment)
No clinically significant changes were noted in slit lamp observations (including hyperemia) for any subjects who received study treatment and there were no adverse events. Subjects reported no-to-negligible ocular discomfort after medication administration using the Optejet.
Investigator-administered medication using the Optejet was evaluated in 60 eyes (1 spray/eye) on Days 1 and 2, and in 30 eyes (2 sprays/eye) on Day 3. Microdose administration was successful on the first attempt in 172 of the 180 cases (96%). Subject head movement and/or blinking and investigator proficiency with Optejet use resulted in the need for additional administration in the remaining 4% of cases, the majority of which (6/8) occurred on Day 1. Administration success was achieved on the first attempt on all Day 3 cases. There were no reports of unintentional overdosing, tear fluid overflow, or dispenser nozzle touching the eye.
In a separate evaluation, subjects were trained on Optejet self-administration with sterile water and then asked to demonstrate Optejet use in each eye during the afternoon of each treatment day. By the afternoon of Day 3, qualified Eyenovia representatives judged that almost 90% of subjects were able to demonstrate accurate self-administration using the Optejet.
This study demonstated Optejet medication administration to be easy to perform, safe, and comfortable to study subjects. Additionally, Optejet microdose administration of 0.005% latanoprost resulted in mean DIOP reduction similar to reported literaure for use of latanoprost 0.005% ophthalmic solution administered as traditional eye drops.
Based on the results of multiple front-of-the-eye studies, we initiated Phase III programs in mydriasis in late 2018 and plan to initiate our Phase III program in progressive myopia in 2019.
Our Product Candidates
MicroStat
MicroStat is the potentially first-in-class fixed combination micro-formulation product candidate for mydriasis (eye dilation) intended to facilitate the estimated 80 million office-based comprehensive and diabetic eye exams and four million ophthalmic surgical dilations performed every year in the United States. Our fixed combination product has been developed to help achieve efficient pupil dilation while reducing unintended effects of conventionally administered mydriatic agents. We believe the market for MicroStat exceeds $250 million in the United States alone.
Background of Mydriasis and Market Opportunity
There are more than an estimated 80 million topical mydriatic applications performed every year as a required part of the comprehensive dilated eye exam and standard retina fundoscopy for diabetic retinopathy screening, macular degeneration evaluation, glaucoma optic disc evaluation and many other back-of-the-eye conditions. There are an additional estimated four million applications for ocular surgery. Most optometrist and ophthalmologist offices have multiple bottles of both phenylephrine and tropicamide and use each bottle on multiple patients, which carries a risk of contaminating patients’ eyes and spreading infections. The bottles are purchased directly from suppliers and are not subject to insurance reimbursement. Our combination therapy, if approved, will allow the purchase of one product for eye dilation, and our system does not come in direct contact with the eye, thus minimizing the risk of infection.
Most dilated eye exams require two separate topical pharmacologic agents/drops be administered sequentially (tropicamide and phenylephrine). All current mydriatic formulations use conventional macrodose drop delivery (30–50 µL), which can significantly overdose the ocular surface whose physiologic capacity is only 6–8 µL. Studies demonstrate that standard macrodosed pharmacologic dilation is associated with significant ocular discomfort and mild-moderate eye pain. On the standard visual analogue scale for pain, such discomfort can exceed the levels of pain associated with a flu vaccine subcutaneous injection. Additionally, there are systemic safety concerns with mydriatic macrodosing for retinopathy of prematurity retinal screening and pediatric dilated eye exams. Studies comparing microdosed phenylephrine and cyclopentolate to traditional eye drops (30–50 µL drop size) in premature babies and in full-term infants have shown equivalent pupil dilation with drop sizes ranging from 5–8 µL while reducing systemic levels by more than 50%.
| 10 |
With millions of patients exposed to mydriatic pharmacologic agents every year, we are developing a microdose alternative whereby the Optejet can be deployed to reduce ocular and systemic exposure by more than 75%. This potential improvement stems from lowering the dose from the 30–50 µL in standard drops to just 8 µL with MicroStat combined with targeted delivery to the ocular surface. We expect to achieve similar mydriatic activity as drops without the high incidence of unwanted side effects.

Pharmacologic mydriasis: dilated pupil after application
Phase III Clinical Development Program
We initiated Phase III clinical trials of fixed-combination microdosed phenylephrine 2.5% and tropicamide 1% administered for mydriasis in November 2018.
The MicroStat program consisted of two Phase III randomized, controlled, cross-over clinical studies evaluating pupil dilation with our fixed combination product (MicroStat) in comparison with the individual drug components (phenylephrine 2.5% and tropicamide 1%, respectively) (the MIST-1 Study), and with a placebo (the MIST-2 Study). The primary endpoint for each study was the mean change in pupil diameter at 35 minutes post-drug administration.
The MIST-1 Study was a double-masked, active-controlled, three-period cross-over superiority study evaluating MicroStat ophthalmic solution versus the two individual drug components contained in MicroStat (phenylephrine 2.5% and tropicamide 1% ophthalmic solutions). All study drugs were administered using the Optejet.
Volunteer participants were evaluated for study eligibility during a screening visit and enrolled after providing study consent. Subjects meeting all inclusion/exclusion criteria were scheduled for three treatment visits, which occurred at least two days, but no more than seven days apart. At each treatment visit, baseline measurements were taken, then one of the three study drugs was administered to both eyes in two separate instances, approximately five minutes apart. Afterwards, efficacy and safety assessments were performed at specific time intervals, including pupil diameter measured by digital pupillometry in highly photopic conditions established by using a fully-charged transilluminator at the brightest setting. Subjects were equally randomized to receive all three treatments according to one of the six possible sequences of study drug administration.
The MIST-1 study was double-masked so that there were no differences in drug presentation. Study drug administration was performed by seven different trained personnel during the trial. To maintain masking, personnel who administered study drug were not allowed to perform post-drug administration ophthalmic assessments.
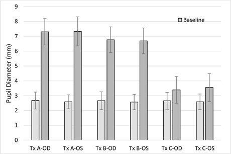
A total of 64 subjects were randomized to receive the study drug. Two subjects withdrew after the first treatment visit; therefore, the resulting per-protocol analysis population consisted of 62 subjects (124 eyes). Mean pupil diameter for each eye at baseline and at 35 minutes post-drug administration is shown graphically below. At 35 minutes, the treatment group difference between MicroStat and tropicamide 1% was 0.440 mm (SE 0.1839), which was statistically significant (p = 0.0183). The treatment group difference between MicroStat and phenylephrine 2.5% at the same timepoint was 3.638 mm (SE 0.1817), which was also statistically significant (p <0.0001). Since the null hypothesis was rejected for both sets of comparisons, the primary endpoint was met.
| 11 |
Pupil Diameter by Treatment at Baseline
and 35 Minutes
(PP Population)

Mean ± Standard Deviation
Tx A = phenylephrine 2.5%-tropicamide 1%; Tx B = tropicamide 1%; Tx C = phenylephrine 2.5%.
As shown below, at 35 minutes post-drug administration, MicroStat achieved a clinically meaningful pupil diameter ≥ 6.0 mm in 95.2% of right eyes and 93.5% of left eyes compared to a lower proportion for tropicamide 1% (79.0% and 77.4% of right and left eyes, respectively) and for phenylephrine 2.5% (1.6% for both right and left eyes). MicroStat also achieved a pupil diameter ≥ 7.0 mm in 67.7% of right and left eyes compared to a lower proportion for tropicamide 1% (43.5% and 41.9% or right and left eyes, respectively) and for phenylephrine 2.5% (0% for right and left eyes).
Proportion of Eyes Achieving Pupil Diameter
≥ 6.0 mm and ≥ 7.0 mm at 35 Minutes
(PP Population)
| 35 Min Post Dose | MicroStat | Tropicamide 1% | Phenylephrine 2.5% | |||||||||||||||||||||
| Combined Visits (1, 2, 3) |
OD (N=62) |
OS N=62) |
OD (N=62) |
OS N=62) |
OD (N=62) |
OS N=62) |
||||||||||||||||||
| Pupil diameter ≥ 6.0 mm | 59 ( 95.2 | )% | 58 ( 93.5 | )% | 49 ( 79.0 | )% | 48 ( 77.4 | )% | 1 ( 1.6 | )% | 1 ( 1.6 | )% | ||||||||||||
| Pupil diameter < 6.0 mm | 3 ( 4.8 | )% | 4 ( 6.5 | )% | 13 ( 21.0 | )% | 14 ( 22.6 | )% | 61 ( 98.4 | )% | 61 ( 98.4 | )% | ||||||||||||
| Pupil diameter ≥ 7.0 mm | 42 ( 67.7 | )% | 42 ( 67.7 | )% | 27 ( 43.5 | )% | 26 ( 41.9 | )% | 0 | 0 | ||||||||||||||
| Pupil diameter < 7.0 mm | 20 ( 32.3 | )% | 20 ( 32.3 | )% | 35 ( 56.5 | )% | 36 ( 58.1 | )% | 62 (100.0 | )% | 62 (100.0 | )% | ||||||||||||
The rate of treatment emergent adverse events, or TEAEs, was low, and consistent with those observed with commercially available dilating eye drops (e.g. blurry vision and stinging). Two TEAEs were reported in the MicroStat eyes, while four TEAEs were reported in each of the other two treatment groups. All events were mild in nature. No non-ocular adverse events were reported.
The MIST-2 Study was a multi-center, double-masked, placebo-controlled, three-period crossover superiority study evaluating MicroStat ophthalmic solution versus placebo. Both study drugs were administered using the Optejet.
Volunteer participants were evaluated for study eligibility during a screening visit and enrolled after providing study consent. Subjects meeting all inclusion/exclusion criteria were scheduled for three treatment visits, which occurred at least two days, but no more than seven days apart. A two-sequence, three-period crossover design was used. At each treatment visit, baseline measurements were taken, then either the investigational drug or the placebo was administered to both eyes in two separate instances, approximately five minutes apart. Only one study drug was administered per treatment visit, and subjects were equally randomized to one of two sequences, ABB and BAA, where A was the Eyenovia fixed combination and B was placebo. Afterwards, efficacy and safety assessments were performed at specific time intervals, including pupil diameter measured by digital pupillometry in highly photopic conditions established by using a fully-charged transilluminator at the brightest setting.
| 12 |
Like MIST-1, this study was double-masked so that there were no differences in drug presentation. Study drug administration was performed by five different trained personnel and, to maintain masking, personnel who administered study drug were not allowed to perform post-drug administration ophthalmic assessments.
A total of 70 subjects at two investigational sites were randomized to receive study drug. One subject withdrew after the first treatment visit; therefore, the resulting per-protocol analysis population consisted of 69 subjects (138 eyes). Mean pupil diameter for each eye at baseline and at 35 minutes post-drug administration is shown graphically below. At 35 minutes, the treatment group difference between MicroStat and placebo was 4.63 mm (SE 0.0544), which was highly statistically significant (p < 0.0001); consequently, the null hypothesis was rejected and the primary endpoint was met.
Pupil Diameter by Eye and Treatment at
Baseline and 35 Minutes
(PP Population)

Mean ± Standard Deviation
As shown in the table below, at 35 minutes post-drug administration, MicroStat achieved a clinically meaningful pupil diameter ≥ 6.0 mm in 92.8%% of right eyes and 94.2% of left eyes and pupil diameter ≥ 7.0 mm in 69.6% of right and 68.1% of left eyes. None of the eyes in the placebo group achieved similar dilation.
Proportion of Eyes Achieving Pupil Diameter
≥ 6.0 mm and ≥ 7.0 mm at 35 Minutes
(PP Population)
| 35 Min Post Dose | MicroStat | Placebo | ||||||||||||||
| Combined Visits (1, 2, 3) | OD (N=69) | OS (N=69) | OD (N=69) | OS (N=69) | ||||||||||||
| Pupil diameter ≥ 6.0 mm | 64 ( 92.8 | )% | 65 ( 94.2 | )% | 0 | 0 | ||||||||||
| Pupil diameter < 6.0 mm | 5 ( 7.2 | )% | 4 ( 5.8 | )% | 69 (100.0 | )% | 69 (100.0 | ) | ||||||||
| Pupil diameter ≥ 7.0 mm | 48 ( 69.6 | )% | 47 ( 68.1 | )% | 0 | 0 | ||||||||||
| Pupil diameter < 7.0 mm | 21 ( 30.4 | )% | 22 ( 31.9 | )% | 69 (100.0 | )% | 69 (100.0 | ) | ||||||||
Two TEAEs (one event of mild instillation site pain and one event of moderate photophobia) were reported in the MicroStat group, while none were reported with the use of placebo. No non-ocular adverse events were reported.
The outcomes of MIST-1 and MIST-2 are consistent. As shown below, in both studies, MicroStat achieved a mean change in pupil size between 4.6 mm and 4.8 mm at 35 minutes post-dose. In both studies, between 93% and 95% of eyes treated with the fixed combination mydriatic drug achieved a pupil diameter ≥ 6.0 mm at this same timepoint. Additionally, in MIST-1, the median time to maximum post-baseline pupil diameter with ≥ 1.0 mm increase from baseline for fixed combination solution was 73.0 minutes, while in MIST-2, it was 71.0 minutes.
| 13 |
Efficacy of MicroStat in MIST-1 and MIST-2 Studies (PP Populations)
| MIST-1 | MIST-2 | |||
| Mean change in pupil diameter from baseline at 35 minutes | 4.6 mm right eyes 4.7 mm left eyes | 4.7 mm right eyes 4.8 mm left eyes | ||
| Proportion of eyes with pupil diameter ≥ 6.0 mm at 35 minutes | 95.2% of right eyes 93.5% of left eyes | 92.8% of right eyes 94.2% of left eyes | ||
| Median time to maximum post-baseline pupil diameter with ≥ 1.0 mm increase from baseline | 73.0 minutes | 71.0 minutes |
The consistency of these results validates the robustness of the study designs and demonstrates the impressive treatment effect of MicroStat. More generally, these outcomes serve to further validate the bioavailability and efficacy of Optejet drug administration to the ocular surface.
With the primary objectives of our Phase III program met, we plan to submit an NDA to the FDA for marketing approval in the United States in 2020. Outside the United States, we have entered into a licensing partnership for MicroStat with Senju Pharmaceuticals for commercialization in Asia, including China, Japan and India.
MicroPine
A key therapeutic program for Eyenovia is our first-in-class topical treatment for progressive myopia, a back-of-the-eye disease.
Background of Progressive Myopia and Market Opportunity
Progressive myopia is estimated to affect close to five million patients in the United States who suffer from uncontrolled axial elongation of the sclera leading to increasing levels of myopia and in some cases major pathologic changes such as retinal atrophy, macular staphylomas, retinal detachment and visual impairment.

Progressive Myopia with Retinal Atrophy Changes

Academic groups have demonstrated that high efficacy with low dose atropine reduces myopia progression 60-70%, with sustained effect through three years. A recent therapeutic evidence assessment and review by the American Academy of Ophthalmology, indicates Level 1 (highest) evidence of efficacy for the role of low dose atropine for progressive myopia (Ophthalmology 2017;124:1857-1866; Ophthalmology 2016; 123(2) 391:399)). While atropine 1% ophthalmic solution is commercially available, we believe the significant side effects associated with its use in the pediatric population make its use undesirable for the treatment of progressive myopia.
| 14 |

We recently initiated the development of a micro-formulation of atropine for moderate to severe myopia (nearsightedness), an ocular disorder in which the optical power of the eye is too strong for the corresponding ocular anatomy. Myopia is the most common refractive error requiring correction seen in children. It is estimated that there are over 80 million children diagnosed with myopia worldwide and over 5 million in the United States. While currently there are no FDA-approved therapies for myopia progression, there is growing evidence of the therapeutic activity of topical atropine, an anticholinergic agent used for dilation, as a treatment to slow progression. Despite activity, safety concerns such as pupil dilation, photosensitivity and accommodation difficulties associated with standard atropine, 1% have tempered initial clinical adoption. While macrodose atropine 1% is currently FDA-approved for pupil dilation in the United States, its significant side effect profile has impeded clinical utility and adoption for myopia progression.
Phase III Clinical Development Program
We have received IND approval for MicroPine and expect to initiate our Phase III clinical trial in 2019. We expect the clinical trial to be a U.S.-based, multi-center, randomized, double-masked trial that will enroll more than 400 children and adolescents who will use MicroPine therapy daily for four years. Participants will be equally randomized to receive treatment with either of two MicroPine treatment concentrations or a placebo control arm. The primary assessment of efficacy is based on reduction in myopia progression at three years, with a fourth year of follow-up required to assess any rebound effects associated with a change in the medication regimen. If the primary objectives of our Phase III program are met, we plan to submit an NDA to the FDA for marketing approval of MicroPine to slow the progression of myopia under the 505(b)(2) pathway.
MicroProst
MicroProst is our proprietary latanoprost formulation product candidate, which is being developed as a first-line treatment for reduction of IOP in patients with CACG, OAG and OHT. Currently, there are no FDA-approved therapies for CACG, which accounts for an estimated 10% and 50% of all glaucoma diagnoses in the United States and China, respectively.
Background of Chronic Angle Closure Glaucoma, Open Angle Glaucoma and Ocular Hypertension and Market Opportunity
CACG, OAG and OHT are well characterized and clinically diagnosed disease entities, as established by the American Academy of Ophthalmology Preferred Practice Patterns. CACG and OAG are characterized by increased IOP and optic neuropathy, while OHT patients are often at risk for optic neuropathy. According to the Johns Hopkins Glaucoma Center of Excellence, there are approximately three million CACG and OAG patients in the United States, and approximately five million additional ocular hypertensives who may be at risk for developing glaucoma, as demonstrated below.
| 15 |

We believe that MicroProst could become a first-line option for treating elevated IOP, competing with other prostaglandin analogues in OAG, CACG and OHT. We estimate the addressable market for MicroProst exceeds $1.5 billion in the United States alone.
The mainstay of glaucoma treatment for both open and angle-closure glaucoma is IOP lowering with pharmacologic therapy. While IOP lowering pharmacotherapies have been FDA indicated and approved for IOP lowering in open-angle glaucoma, none have been specifically studied in FDA trials nor indicated for CACG, which is a less prevalent disease. Despite the unmet need and the fact that over approximately 90% of CACG patients continue to require chronic lifelong IOP-lowering therapy, many physicians continue to use off-label treatments without the support of rigorous clinical trials and data. Therapeutic control is particularly important for CACG patients where it has been well established that optic nerve damage is more IOP-dependent than that of open-angle glaucoma and CACG patients progress two times more quickly than open-angle glaucoma patients.
There is strong clinical evidence from multiple studies as well as a more recent randomized controlled study published in the Archives of Ophthalmology that latanoprost and timolol cause significant IOP lowering in patients with CACG — 35% and 26%, respectively. Even though there has been no FDA-approved therapy, peer-reviewed and published clinical trials demonstrate robust therapeutic effect of latanoprost in CACG, which is highly informative for our forthcoming Phase III clinical trial. A randomized controlled study in 60 eyes published in the peer-reviewed journal, Archives of Ophthalmology, shows not only a high level of IOP lowering effect of 8.2 mmHg at three months, but also superiority to active timolol control which only lowered IOP by 6.1 mmHg.
| 16 |
Diumal Variation of IOP at Baseline and After Three Months of Therapy
With Latanoprost and Timolol in 60 Eyes
| Latanoprost | Timolol Maleate | ||||||||||||||||||||||||
| Decrease in IOP | Decrease in IOP | ||||||||||||||||||||||||
|
Time of IOP Recording |
Mean ± SD Baseline IOP, mm Hg |
Mean ± SD IOP, mm Hg |
Mean ± SD, mm Hg |
% |
Mean ± SD IOP, mm Hg |
Mean ± SD, mm Hg |
% |
P Value |
|||||||||||||||||
| 7 AM | 23.5 ± 3.1 | 14.0 ± 2.2 | 9.5 ± 3.3 | 40.4 | 18.3 ± 3.2 | 5.2 ± 3.6 | 22.1 | <.01 | |||||||||||||||||
| 10 AM | 24.6 ± 3.9 | 14.6 ± 2.8 | 10.0 ± 4.3 | 40.6 | 17.9 ± 3.6 | 6.7 ± 3.5 | 27.2 | <.01 | |||||||||||||||||
| 1 PM | 23.6 ± 2.7 | 16.2 ± 2.7 | 7.4 ± 3.4 | 31.4 | 17.1 ± 3.2 | 6.5 ± 3.8 | 27.5 | .04 | |||||||||||||||||
| 4 PM | 23.2 ± 2.7 | 15.7 ± 3.4 | 7.5 ± 3.3 | 32.3 | 17.7 ± 3.9 | 5.6 ± 3.7 | 24.1 | <.01 | |||||||||||||||||
| 7 PM | 22.4 ± 3.1 | 15.6 ± 3.1 | 6.8 ± 3.4 | 30.4 | 16.9 ± 3.8 | 5.6 ± 3.9 | 25.0 | .01 | |||||||||||||||||
| 10 PM | 23.3 ± 2.9 | 15.6 ± 3.0 | 7.6 ± 3.9 | 32.6 | 16.3 ± 3.4 | 6.9 ± 3.6 | 29.6 | .25 | |||||||||||||||||
| Mean | 23.4 ± 2.1 | 15.3 ± 1.8 | 8.2 ± 2.0 | 34.9 | 17.4 ± 1.7 | 6.1 ± 1.7 | 26.0 | <.01 | |||||||||||||||||
Additionally, 72% of patients taking latanoprost and 43% of patients taking timolol achieved more than 30% IOP lowering from baseline. Similarly, another randomized controlled study demonstrated an 8.8 mmHg IOP reduction with latanoprost and 5.7 mmHg reduction with timolol in patients with CACG. Data from these studies not only suggest the biologic therapeutic effect of IOP lowering in CACG, but also highlight the undesirable associated safety profile of macrodosing such as hyperemia and ocular discomfort, which caused significant adverse events in more than 40% of patients. Based on these studies and the data from the open-angle glaucoma disease therapeutic paradigm, we believe MicroProst may demonstrate IOP lowering and an improved safety profile for CACG patients in our planned Phase III clinical trial. If approved, MicroProst would be the only first-line medication that is FDA-approved in CACG, OAG and OHT.
Phase III Clinical Development Program
Subsequent to the completion of early phase clinical trials, we met with the FDA to discuss our Phase III plans for MicroProst. The FDA outlined the necessary clinical trials for approval and we are preparing to initiate a Phase III registration program for MicroProst relying on the 505(b)(2) pathway in 2019. If approved, we believe MicroProst will have the widest indication of commercially available IOP-lowering therapies, including the first FDA-approved treatment for CACG. Based on the results of our earlier study of Optejet-administered latanoprost (EYNPG-21), we believe MicroProst will achieve similar clinical efficacy without the adverse effects seen with conventional drops, which overdose the eye with potentially harmful preservatives and active pharmaceutical ingredient, or API.
We anticipate that the MicroProst clinical program will require a single Phase III randomized controlled clinical trial involving patients with OHT, POAG and CACG, with a three-month primary endpoint evaluating IOP reduction and follow-up through six months for safety. We plan to begin the clinical trial for MicroProst in 2019. We have entered into a licensing partnership for our MicroProst program with Senju Pharmaceuticals for Asia, including China where it is estimated that CACG accounts for up to 50% of all glaucoma.
MicroTears
MicroTears is a micro-droplet ocular hyperemia (red eye), pruritis (itch) and ocular lubrication product candidate for an estimated $850 million ocular OTC market in the United States. The Optejet can enable accurate delivery of MicroTears directly to the ocular surface, which we believe enhances its effectiveness. The lower volume of MicroTears could also lower the incidents of droplet overflow and potentially reduce the risk of therapeutic rebound from the ocular decongestant, where over time these products may lose their effectiveness. While no FDA studies are required for registration of a monograph formulation, we expect to conduct multiple Phase IV post-marketing studies to demonstrate the benefits of MicroTears. We plan to complete formulation and manufacturing scale-up activities for an expected market introduction in 2019.
| 17 |
Background of Ocular hyperemia, Pruritis and Dry Eye Syndrome and Market Opportunity
Ocular hyperemia (red eye) is caused by dilation of the blood vessels in the conjunctiva. The increased diameter of the blood vessels can cause the conjunctiva to take on a diffuse pink color. Common causes of hyperemia include allergies, morning eye congestion (when irritants become caught in the tear film overnight), dry eye and contact lens wear.
Ocular pruritis (itch) is a common symptom that can impact a patient’s quality of life. Pruritis can be caused by keratoconjunctivitis, allergies, dry eye syndrome, meibomian gland dysfunction, blepharitis and contact lens wear.
Dry eye syndrome, or DES, is a common yet complex ocular condition caused by decreased tear production and/or increased tear evaporation. It is a chronic, episodic, multifactorial disease affecting the tears and ocular surface that can result in tear film instability, inflammation, discomfort, visual disturbance, and potential damage to the ocular surface. DES can have a significant impact on quality of life. In addition, the vast majority of DES patients experience acute exacerbations of their symptoms, which are commonly referred to as flares, at various times throughout the year.
All three of these conditions can be triggered by numerous factors, including exposure to allergens, pollution, wind and low humidity, intense visual concentration such as watching television and working at a computer, contact lens wear, smoking and sleep deprivation, which can cause ocular surface inflammation and impact tear production and/or tear film stability.
An estimated over 20 million people in the United States suffer from the symptoms of dry eye and many more have had episodes of ocular hyperemia or pruritis. An estimated 25% of patients visiting ophthalmology clinics in the United States report dry eye symptoms. While many patients receive prescriptions for dry eye symptoms, the majority of patients with ocular hyperemia or pruritis opt for OTC products. The OTC market for these conditions is approximately $850 million annually in the United States. We believe MicroTears will offer meaningful improvements over other OTC options, by improved accuracy in delivering the medication, better ocular coating, lower incidence of medication running down the patient’s face and potentially a lower incidence of ocular decongestant rebound due to microdosing of the active ingredient.
Our Technology
The Optejet comes in two parts:
| • | the base contains the electronic components which enable generation of control signals designed to ensure consistent, accurate columnated arrays of micro-droplets, as well as dose tracking via Bluetooth connectivity; and |
| • | the disposable cartridge which contains the drug formulation in a primary drug container, targeted dosing system and piezo-driven ejector nozzle, and comes in one-month doses. |
For administration of our product candidates, the patient receives both the base and the disposable cartridge. For refills, the patient receives only the disposable cartridge. Patients deliver their dose by attaching the cartridge to the base, pressing an activation button which loads a single drug dose, then, holding it between one and two inches from the eye while looking directly into an illuminated circle, pressing a second button to emit the micro-droplet delivered medication. The micro-droplets are emitted in a quickly repeating array, that in aggregate form a micro-jet. Solution is dispensed to the ocular surface in approximately 80 milliseconds, which beats the blink reflex of the eye and enables the medication to coat the ocular surface while not flooding the eye’s tear capacity. The patient feels a wet sensation on the eye, but does not experience any pain, as demonstrated in studies to date. Several acute clinical trials have been performed to date that demonstrate the Optejet’s usability. As a precise and quick-delivered microdose, it does not drip down the face or drain down the naso-lacrimal duct thereby minimizing delivery of extra product or preservatives to the eye. The rechargeable base has intelligent power management and precision designed circuitry that maximizes battery life allowing for infrequent recharging, while providing consistent dose delivery over the life of each cartridge.
| 18 |

Our system is based on piezo-driven printer technology, which is also used for high-precision ink jet printing. In ink jet printing, piezo technology enables ink to be sprayed with precision to form letters and numbers on paper. Our patented system takes aspects of piezo driven printer technology, and applies it to the delivery of therapeutics to the eye.
Sales and Marketing
In light of our development stage, our commercial organization is focused on establishing relationships with potential strategic partners, key opinion leaders and medical organizations. These relationships will be important to the rapid acceptance and uptake of our products once they become available. We are also assessing sales, reimbursement and distribution strategies to maximize the value of our assets in development. We have licensed commercialization rights in Asia to Senju Pharmaceuticals and have retained global commercial rights for our product candidates in all other regions. As partial consideration, Senju Pharmaceuticals purchased $5 million of our Series A preferred stock in April 2015 (which subsequently converted to shares of our common stock in connection with our initial public offering). Pursuant to the exclusive license agreement, Senju Pharmaceuticals also agreed to pay us royalties equal to 5% of the net sales (excluding manufacturing costs, rebates and other charges) for the licensed products sold by Senju Pharmaceuticals on a semi-annual basis until the expiration of all patents or pending patent applications covering such licensed product, at which time the royalty rate will be reduced to 1%. The royalty payment will continue, on a country-by-country basis, until the latter of the 10th year of the first commercial sale of a licensed product in any country or the expiration of the licensed patents. Upon expiration of the agreement, Senju Pharmaceuticals will own an exclusive, fully paid up, irrevocable and perpetual license. The exclusive license agreement may be terminated by either party for any material breach by the other party that is not cured within 90 days of receipt of written notice by the breaching party. If so terminated by Senju Pharmaceuticals, the license will survive the termination with no further payment obligations to us. If so terminated by us, the license will terminate and Senju Pharmaceuticals will transfer all rights to regulatory approvals to us, with no refund or recovery of any development costs. Senju Pharmaceuticals may also terminate the exclusive license agreement without cause upon 60 days written notice on a country-by-country basis, in which event Senju Pharmaceuticals will transfer all rights to regulatory approvals pertaining to any licensed product to us.
If our product candidates receive marketing approval, we plan to commercialize them in the United States through a combination of distributors, specialty pharmacies and our own specialty sales force. We expect to work with distribution companies or through other marketing arrangements in the European Union and other regions outside the United States We believe that the U.S. commercial organization will initially consist of approximately 15 sales and marketing professionals and, upon approval of MicroPine, grow to approximately 100 individuals calling on ophthalmologists and optometrists. We expect to make hires and sign distribution agreements for commercialization following NDA approval of any of our product candidates. Our management team and directors, which would lead the commercialization planning of our lead product candidates, have substantial experience in the commercialization of ophthalmic therapeutics.
Manufacturing
We currently rely on a combination of internal manufacturing capacity and third-party manufacturers to produce the product candidates for our clinical trials. We manage such production with all our vendors on a purchase order basis. Relationships with vendors of critical components are governed by applicable service and supply agreements or purchase order terms. We do not currently have long-term agreements with these manufacturers or any other third-party suppliers. We intend to procure quantities on a purchase order basis for our clinical and initial commercial production. If any of our existing third-party suppliers should become unavailable to us for any reason, we believe that there are a number of potential replacements, although we might experience a delay in our ability to obtain alternately sourced quantities of materials or services due to their unique and specialized nature. We also do not have any current contractual relationships for the manufacture of commercial supplies of our product candidates if they are approved. With respect to commercial production of our product candidates in the future, we plan to outsource production of the majority of the product candidates if they are approved for marketing by the applicable regulatory authorities.
| 19 |
Competition
The biotechnology and pharmaceutical industries are characterized by rapidly advancing technologies, intense competition and a strong emphasis on proprietary products. While we believe that our technologies, knowledge, experience and scientific resources provide us with competitive advantages, we face potential competition from many different sources, including major pharmaceutical, specialty pharmaceutical and biotechnology companies, academic institutions and governmental agencies and public and private research institutions. Any product candidates that we successfully develop and commercialize will compete with existing therapies and new therapies that may become available in the future.
Our potential competitors include large pharmaceutical and biotechnology companies, and specialty pharmaceutical and generic or biosimilar drug companies. Many of our competitors have significantly greater financial and human resources and expertise in research and development, manufacturing, preclinical testing, conducting clinical trials, obtaining regulatory approvals and marketing approved products than we do. Smaller and other early stage companies may also prove to be significant competitors, particularly through collaborative arrangements with large and established companies. These third parties compete with us in recruiting and retaining qualified scientific and management personnel, establishing clinical trial sites and patient enrollment for clinical trials, as well as in acquiring products, product candidates or other technologies that we may target to in-license or acquire in pursuit of our updated business plan.
For MicroStat, we are not aware of any micro-therapeutics nor of any existing FDA-approved phenylephrine-tropicamide topical fixed combination even in standard macrodose. There are competitive macrodose drop formulations of individual therapeutics such as phenylephrine and tropicamide for mydriasis by companies such as Akorn, Alcon and others, as well as pharmacies that compound the combination on an individual basis for physicians.
For MicroPine, we are not aware of any FDA-approved therapies to slow the progression of myopia.
For the MicroProst program, there are currently no FDA-approved prostaglandin therapies for chronic angle closure glaucoma and we are not aware of any in ongoing FDA registration studies. Physicians currently use off-label IOP lowering medications that are FDA-approved for a different disease entity, namely open-angle glaucoma.
For MicroTears, there is an estimated $850 million U.S. market of OTC medications including ocular decongestants and artificial tears with an aggregate of 200 million units sold annually in the United States, but none that we are aware of with targeted, ocular surface coating micro-droplet delivery. We believe the benefits of microdosing as well as simplicity and convenience of our MicroTears system, which can be administered without tilting the head and with minimal risk of inconveniences such as dripping down the patient’s cheek, can differentiate our product from other OTC products.
Intellectual Property
Our success may depend on our ability to obtain, maintain and enforce our proprietary rights related to our products and other technologies. We must also operate without infringing the proprietary rights of others while preventing others from infringing our proprietary rights. We will seek to protect our proprietary position by, among other methods, filing U.S. and foreign patent applications. We may also rely on trade secrets and know-how for some proprietary methods, methods of manufacture, and systems and devices. We continue innovating our technologies, and will file appropriate U.S. and foreign patent applications for our future innovations.
Patents
As of December 31, 2018, we owned seven U.S. issued utility patents, one issued design patent, and nine pending U.S. patent applications, as well as 33 issued foreign patents, 41 pending foreign patent applications, and one pending international PCT application.
Patent coverage within the portfolio includes issued and pending patent applications disclosing and claiming the following devices and methods:
| • | A piezoelectric device configured to generate an ejected stream of droplets is the subject of one patent family. The device ejects droplets having an average ejected droplet diameter greater than 20 microns and an average initial droplet ejecting velocity between 0.5 m/s and 10 m/s. Furthermore, the stream of droplets is generated with low entrained airflow so that at least 75% of the mass is deposited on the eye. U.S. patents for these devices are expected to expire in 2031. |
| • | A method of delivering a medicament or solution to an eye with a piezo-ejector device is the subject of another patent family. The method involves delivering an average droplet size of 20 microns to 100 microns in diameter with an average initial droplet ejecting velocity between 1 m/s and 10 m/s to the eye. About 85% to 100% of the ejected mass of droplets is deposited on the eye. U.S. patents for these methods are expected to expire in 2031. |
| 20 |
| • | A device having a piezo-ejector that generates a directed stream of droplets through specially shaped openings in the piezo-ejector is the subject of still another patent family. The openings provide laminar flow through the openings. Laminar flow is provided by shaping the openings with a gradual slope change so that an external entry radius has a circular shape which reduces airflow while providing laminar flow through the openings. U.S. patents related to these devices are expected to expire in 2033. |
| • | A piezo-electric ejector device having a microcontroller which auto-tunes the ejector mechanism is the subject of another patent family. The device generates at least one cycle in a range of drive signal frequencies and obtains time-energy product feedback from a decay signal emitted by the actuator. U.S. patents related to these devices are expected to expire in 2033. |
| • | A method of monitoring the treatment of ophthalmic subjects by capturing images of the eye is the subject of another patent family. Images of the eye are taken which are sufficient to obtain information about the diagnosis or health of the eye. The data is stored and analyzed to monitor treatment. U.S. patents related to this method are expected to expire in 2031. |
| • | A fluid ejector having a fluid loading plate in parallel arrangement with an ejector mechanism is the subject of patent family patented in Europe. The fluid loading plate forms a capillary separation with the ejector mechanism to generate capillary fluid flow. The fluid loading plate is also attached to the reservoir (at a fluid reservoir interface) and to the ejector mechanism (at an ejector mechanism interface) and may have one or more fluid channels from the fluid reservoir interface to the ejector mechanism interface. The ejector produces a stream of droplets having a droplet diameter greater than 15 microns with the stream having low entrained airflow so that the pressure of the stream will be substantially imperceptible. |
The expiry of any patent depends upon the legal term for patents in that particular country. In the United States, the patent term is generally 20 years from the earliest claimed filing date of a non-provisional patent application. In the United States, a patent’s term may be lengthened by patent term adjustment which compensates a patentee for administrative delays by the United States Patent and Trademark Office, or the USPTO, in examining and granting a patent. A patent term may also be shortened if a patent is terminally disclaimed over another patent or application.
The Drug Price Competition and Patent Term Restoration Act of 1984, or the Hatch-Waxman Act, permits a patent term extension of up to five years beyond the expiration date of a U.S. patent as partial compensation for the length of time the drug is under regulatory review while the patent is in force.
A patent term extension cannot extend the remaining term of a patent beyond a total of 14 years from the date of product approval, only one patent applicable to each regulatory review period may be extended and only those claims covering the approved drug, a method for using it or a method for manufacturing it may be extended. We cannot provide any assurance that any patent term extension with respect to any U.S. patent will be obtained and, if obtained, the duration of such extension. Similar patent term extension/reduction provisions are available in the European Union and other jurisdictions. In the future, if and when our product candidates receive approval by the FDA or foreign regulatory authorities, we will apply for patent term extensions on issued patents covering our products to the extent available under the applicable law, depending upon the length of any such clinical trials for any product and other factors. The expiration dates referred to above are without regard to potential patent term extension or other market exclusivity that may be available to us. However, we cannot provide any assurances that any such patent term extension of a foreign patent will be obtained and, if obtained, the duration of such extension.
In Asia, we have been granted a patent in each of China and South Korea and two patents in Japan that describe a piezoelectric device configured to generate an ejected stream of droplets with a particular droplet diameter and ejection velocity. We also have seven additional patents granted in China, five additional patents granted in Japan, and four patents granted in Singapore, all related to aspects of the piezoelectric device and methods of using the device.
Trademarks
Our products are marketed under trademarks and service marks that are owned by us. The following words are trademarks in our Company’s trademark portfolio and are the subject of either registration, or application for registration, in the United States: EYENOVIA®, OPTEJET™.
In addition to the trademarks noted above, we will file trademark applications for new trademarks registrations to protect our market positions in the United States and other jurisdictions on an ongoing basis.
| 21 |
Proprietary Technology
In addition to patents, we may rely on trade secrets and proprietary know-how to protect our technology. We endeavor to protect our proprietary technology and processes in the appropriate manner to maintain their secrecy including confidentiality agreements when dealing with third parties. We also seek to preserve the integrity and confidentiality of our data and trade secrets by maintaining physical security of our premises and physical and electronic security of our information technology systems. We also require invention assignment agreements with our employees, consultants, and contractors.
Government Regulation and Product Approvals
Government authorities in the United States, at federal, state and local levels, and in other countries and jurisdictions, including the European Union, extensively regulate, among other things, the research, development, testing, manufacture, quality control, approval, packaging, storage, recordkeeping, labeling, advertising, promotion, distribution, marketing, post-approval monitoring and reporting, and import and export of pharmaceutical products. The processes for obtaining regulatory approvals in the United States and in foreign countries and jurisdictions, along with subsequent compliance with applicable statutes and regulations and other regulatory authorities, require the expenditure of substantial time and financial resources.
Review and Approval of Drugs in the United States
In the United States, the FDA regulates drug products under the Food, Drug, and Cosmetic Act, or FDCA, and implementing regulations. The process of obtaining regulatory approvals and the subsequent compliance with appropriate federal, state, local and foreign statutes and regulations requires the expenditure of substantial time and financial resources. The failure to comply with applicable requirements under the FDCA and other applicable laws at any time during the product development process, approval process or after approval may subject an applicant and/or sponsor to a variety of administrative or judicial sanctions, including refusal by the FDA to approve pending applications, withdrawal of an approval, imposition of a clinical hold, issuance of warning letters and other types of letters, voluntary product recalls, product seizures, total or partial suspension of production or distribution, injunctions, fines, refusals of government contracts, restitution, disgorgement of profits, or civil or criminal investigations and penalties brought by the FDA and the Department of Justice or other governmental entities.
An applicant seeking approval to market and distribute a new drug product in the United States must typically undertake the following:
| • | completion of preclinical laboratory tests, animal studies and formulation studies in compliance with the FDA’s good laboratory practice, or GLP, regulations; |
| • | submission to the FDA of an IND which must take effect before human clinical trials may begin; |
| • | approval by an institutional review board, or IRB, representing each clinical site before each clinical trial may be initiated; |
| • | performance of adequate and well-controlled human clinical trials in accordance with good clinical practices, or GCP, to establish the safety and efficacy of the proposed drug product for each indication; |
| • | preparation and submission to the FDA of an NDA; |
| • | review of the product by an FDA advisory committee, where appropriate or if applicable; |
| • | satisfactory completion of one or more FDA inspections of the manufacturing facility or facilities at which the product, or components thereof, are produced to assess compliance with current Good Manufacturing Practices, or cGMP, requirements and to assure that the facilities, methods and controls are adequate to preserve the product’s identity, strength, quality and purity; |
| • | satisfactory completion of FDA audits of clinical trial sites to assure compliance with GCPs and the integrity of the clinical data; |
| • | payment of user fees and securing FDA approval of the NDA; and |
| • | compliance with any post-approval requirements, including Risk Evaluation and Mitigation Strategies, or REMS, and post-approval studies required by the FDA. |
| 22 |
Preclinical Studies
Preclinical studies include laboratory evaluation of the purity and stability of the manufactured drug substance or active pharmaceutical ingredient and the formulated drug or drug product, as well as in vitro and animal studies to assess the safety and activity of the drug for initial testing in humans and to establish a rationale for therapeutic use. The conduct of preclinical studies is subject to federal regulations and requirements, including GLP regulations. The results of the preclinical tests, together with manufacturing information, analytical data, any available clinical data or literature and plans for clinical trials, among other things, are submitted to the FDA as part of an IND. Some long-term preclinical testing, such as animal tests of reproductive adverse events and carcinogenicity, may continue after the IND is submitted.
The IND and IRB Processes
An IND is an exemption from the FDCA that allows an unapproved drug to be shipped in interstate commerce for use in an investigational clinical trial and a request for FDA authorization to administer an investigational drug to humans. Such authorization must be secured prior to interstate shipment and administration of any new drug that is not the subject of an approved NDA. In support of a request for an IND, applicants must submit a protocol for each clinical trial and any subsequent protocol amendments must be submitted to the FDA as part of the IND. In addition, the results of the preclinical tests, together with manufacturing information, analytical data, any available clinical data or literature and plans for clinical trials, among other things, are submitted to the FDA as part of an IND. The FDA requires a 30-day waiting period after the filing of each IND before clinical trials may begin. This waiting period is designed to allow the FDA to review the IND to determine whether human research subjects will be exposed to unreasonable health risks. At any time during this 30-day period, the FDA may raise concerns or questions about the conduct of the clinical trials as outlined in the IND and impose a clinical hold. In this case, the IND sponsor and the FDA must resolve any outstanding concerns before clinical trials can begin.
Following commencement of a clinical trial under an IND, the FDA may also place a clinical hold or partial clinical hold on that clinical trial. A clinical hold is an order issued by the FDA to the sponsor to delay a proposed clinical investigation or to suspend an ongoing investigation. A partial clinical hold is a delay or suspension of only part of the clinical work requested under the IND. For example, a specific protocol or part of a protocol is not allowed to proceed, while other protocols may do so. No more than 30 days after imposition of a clinical hold or partial clinical hold, the FDA will provide the sponsor a written explanation of the basis for the hold. Following issuance of a clinical hold or partial clinical hold, an investigation may only resume after the FDA has notified the sponsor that the investigation may proceed. The FDA will base that determination on information provided by the sponsor correcting the deficiencies previously cited or otherwise satisfying the FDA that the investigation can proceed.
A sponsor may choose, but is not required, to conduct a foreign clinical study under an IND. When a foreign clinical study is conducted under an IND, all FDA IND requirements must be met unless waived. When the foreign clinical study is not conducted under an IND, the sponsor must ensure that the study complies with FDA certain regulatory requirements in order to use the study as support for an IND or application for marketing approval. Specifically, such studies must be conducted in accordance with good clinical practice, or GCP, including review and approval by an independent ethics committee, or IEC, and informed consent from subjects. The FDA’s regulations are intended to help ensure the protection of human subjects enrolled in non-IND foreign clinical studies, as well as the quality and integrity of the resulting data. They further help ensure that non-IND foreign studies are conducted in a manner comparable to that required for IND studies.
In addition to the foregoing IND requirements, an IRB representing each institution participating in the clinical trial must review and approve the plan for any clinical trial before it commences at that institution, and the IRB must conduct a continuing review and reapprove the study at least annually. The IRB must review and approve, among other things, the study protocol and informed consent information to be provided to study subjects. An IRB must operate in compliance with FDA regulations. An IRB can suspend or terminate approval of a clinical trial at its institution, or an institution it represents, if the clinical trial is not being conducted in accordance with the IRB’s requirements or if the product candidate has been associated with unexpected serious harm to patients.
Additionally, some clinical trials are overseen by an independent group of qualified experts organized by the trial sponsor, known as a data safety monitoring board or committee. This group provides authorization for whether or not a clinical trial may move forward at designated check points based on access that only the group maintains to available data from the study. Suspension or termination of development during any phase of clinical trials can occur if it is determined that the participants or patients are being exposed to an unacceptable health risk. Other reasons for suspension or termination may be made by us based on evolving business objectives and/or competitive climate.
Information about certain clinical trials must be submitted within specific timeframes to the National Institutes of Health, or NIH, for public dissemination on its ClinicalTrials.gov website.
| 23 |
Human Clinical Trials in Support of an NDA
Clinical trials involve the administration of the investigational product to human subjects under the supervision of qualified investigators in accordance with GCP requirements, which include, among other things, the requirement that all research subjects provide their informed consent in writing before their participation in any clinical trial. Clinical trials are conducted under written study protocols detailing, among other things, the inclusion and exclusion criteria, the objectives of the study, the parameters to be used in monitoring safety and the effectiveness criteria to be evaluated.
Human clinical trials are typically conducted in three sequential phases, which may overlap or be combined:
| • | Phase I. The drug is initially introduced into healthy human subjects or, in certain indications such as cancer, patients with the target disease or condition and tested for safety, dosage tolerance, absorption, metabolism, distribution, excretion and, if possible, to gain an early indication of its effectiveness and to determine optimal dosage. |
| • | Phase II. The drug is administered to a limited patient population to identify possible adverse effects and safety risks, to preliminarily evaluate the efficacy of the product for specific targeted diseases and to determine dosage tolerance and optimal dosage. |
| • | Phase III. The drug is administered to an expanded patient population, generally at geographically dispersed clinical trial sites, in well-controlled clinical trials to generate enough data to statistically evaluate the efficacy and safety of the product for approval, to establish the overall risk-benefit profile of the product and to provide adequate information for the labeling of the product. |
Progress reports detailing the results of the clinical trials must be submitted at least annually to the FDA and more frequently if serious adverse events occur. In addition, IND safety reports must be submitted to the FDA for any of the following: serious and unexpected suspected adverse reactions; findings from other studies or animal or in vitro testing that suggest a significant risk in humans exposed to the drug; and any clinically important increase in the case of a serious suspected adverse reaction over that listed in the protocol or investigator brochure. Phase I, Phase II and Phase III clinical trials might not be completed successfully within any specified period, or at all. Furthermore, the FDA or the sponsor may suspend or terminate a clinical trial at any time on various grounds, including a finding that the research subjects are being exposed to an unacceptable health risk. Similarly, an IRB can suspend or terminate approval of a clinical trial at its institution, or an institution it represents, if the clinical trial is not being conducted in accordance with the IRB’s requirements or if the drug has been associated with unexpected serious harm to patients. The FDA will typically inspect one or more clinical sites to assure compliance with GCP and the integrity of the clinical data submitted.
Concurrent with clinical trials, companies often complete additional animal studies and must also develop additional information about the chemistry and physical characteristics of the drug as well as finalize a process for manufacturing the product in commercial quantities in accordance with cGMP requirements. The manufacturing process must be capable of consistently producing quality batches of the drug candidate and, among other things, must develop methods for testing the identity, strength, quality, purity, and potency of the final drug. Additionally, appropriate packaging must be selected and tested and stability studies must be conducted to demonstrate that the drug candidate does not undergo unacceptable deterioration over its shelf life.
Submission of an NDA to the FDA
Assuming successful completion of required clinical testing and other requirements, the results of the preclinical studies and clinical trials, together with detailed information relating to the product’s chemistry, manufacture, controls and proposed labeling, among other things, are submitted to the FDA as part of an NDA requesting approval to market the drug product for one or more indications. Under federal law, the submission of most NDAs is subject to an application user fee, which for federal fiscal year 2019 is $2,588,478 for an application requiring clinical data. The sponsor of an approved NDA is also subject to an annual prescription drug program fee, which for fiscal year 2019 is $309,915. Certain exceptions and waivers are available for some of these fees, such as an exception from the application fee for drugs with orphan designation and a waiver for certain small businesses. Eyenovia is currently eligible for a waiver of the application fees under the small business provisions.
The FDA conducts a preliminary review of an NDA within 60 days of its receipt and informs the sponsor by the 74th day after the FDA’s receipt of the submission to determine whether the application is sufficiently complete to permit substantive review. The FDA may request additional information rather than accept an NDA for filing. In this event, the application must be resubmitted with the additional information. The resubmitted application is also subject to review before the FDA accepts it for filing. Once the submission is accepted for filing, the FDA begins an in-depth substantive review. The FDA has agreed to certain performance goals in the review process of NDAs. Most such applications are meant to be reviewed within 10 months from the date of filing, and most applications for “priority review” products are meant to be reviewed within six months of filing. For applications of drug products that are not new molecular entities, FDA aims to conduct standard reviews within 10 months of receipt of the NDA and priority reviews within six months of receipt of the NDA. The review process may be extended by the FDA for three additional months to consider new information or clarification provided by the applicant to address an outstanding deficiency identified by the FDA following the original submission.
| 24 |
Before approving an NDA, the FDA typically will inspect the facility or facilities where the product is or will be manufactured. These pre-approval inspections may cover all facilities associated with an NDA submission, including drug component manufacturing (such as active pharmaceutical ingredients), finished drug product manufacturing, and control testing laboratories. The FDA will not approve an application unless it determines that the manufacturing processes and facilities are in compliance with cGMP requirements and adequate to assure consistent production of the product within required specifications. Additionally, before approving an NDA, the FDA will typically inspect one or more clinical sites to assure compliance with GCP.
In addition, as a condition of approval, the FDA may require an applicant to develop a REMS. REMS use risk minimization strategies beyond the professional labeling to ensure that the benefits of the product outweigh the potential risks. To determine whether a REMS is needed, the FDA will consider the size of the population likely to use the product, seriousness of the disease, expected benefit of the product, expected duration of treatment, seriousness of known or potential adverse events, and whether the product is a new molecular entity. REMS can include medication guides, physician communication plans for healthcare professionals, and elements to assure safe use, or ETASU. ETASU may include, but are not limited to, special training or certification for prescribing or dispensing, dispensing only under certain circumstances, special monitoring, and the use of patient registries. The FDA may require a REMS before approval or post-approval if it becomes aware of a serious risk associated with use of the product. The requirement for a REMS can materially affect the potential market and profitability of a product.
The FDA may refer an application for a novel drug to an advisory committee or explain why such referral was not made. Typically, an advisory committee is a panel of independent experts, including clinicians and other scientific experts, that reviews, evaluates and provides a recommendation as to whether the application should be approved and under what conditions. The FDA is not bound by the recommendations of an advisory committee, but it considers such recommendations carefully when making decisions.
The FDA’s Decision on an NDA
On the basis of the FDA’s evaluation of the NDA and accompanying information, including the results of the inspection of the manufacturing facilities, the FDA may issue an approval letter or a complete response letter. An approval letter authorizes commercial marketing of the product with specific prescribing information for specific indications. A complete response letter generally outlines the deficiencies in the submission and may require substantial additional testing or information in order for the FDA to reconsider the application. If and when those deficiencies have been addressed to the FDA’s satisfaction in a resubmission of the NDA, the FDA will issue an approval letter. The FDA has committed to reviewing such resubmissions in two or six months depending on the type of information included. Even with submission of this additional information, the FDA ultimately may decide that the application does not satisfy the regulatory criteria for approval.
If the FDA approves a product, it may limit the approved indications for use for the product, require that contraindications, warnings or precautions be included in the product labeling, require that post-approval studies, including Phase IV clinical trials, be conducted to further assess the drug’s safety after approval, require testing and surveillance programs to monitor the product after commercialization, or impose other conditions, including distribution restrictions or other risk management mechanisms, including REMS, which can materially affect the potential market and profitability of the product. The FDA may prevent or limit further marketing of a product based on the results of post-market studies or surveillance programs. After approval, many types of changes to the approved product, such as adding new indications, manufacturing changes and additional labeling claims, are subject to further testing requirements and FDA review and approval.
Post-Approval Requirements
Drugs manufactured or distributed pursuant to FDA approvals are subject to pervasive and continuing regulation by the FDA, including, among other things, requirements relating to recordkeeping, periodic reporting, product sampling and distribution, advertising and promotion and reporting of adverse experiences with the product. After approval, most changes to the approved product, such as adding new indications or other labeling claims, are subject to prior FDA review and approval.
In addition, drug manufacturers and other entities involved in the manufacture and distribution of approved drugs are required to register their establishments with the FDA and state agencies, and are subject to periodic unannounced inspections by the FDA and these state agencies for compliance with cGMP requirements. Changes to the manufacturing process are strictly regulated and often require prior FDA approval before being implemented. FDA regulations also require investigation and correction of any deviations from cGMP and impose reporting and documentation requirements upon the sponsor and any third-party manufacturers that the sponsor may decide to use. Accordingly, manufacturers must continue to expend time, money, and effort in the area of production and quality control to maintain cGMP compliance.
| 25 |
Once an approval is granted, the FDA may withdraw the approval if compliance with regulatory requirements and standards is not maintained or if problems occur after the product reaches the market. Later discovery of previously unknown problems with a product, including adverse events of unanticipated severity or frequency, or with manufacturing processes, or failure to comply with regulatory requirements, may result in revisions to the approved labeling to add new safety information; imposition of post-market studies or clinical trials to assess new safety risks; or imposition of distribution or other restrictions under a REMS program. Other potential consequences include, among other things:
| • | restrictions on the marketing or manufacturing of the product, complete withdrawal of the product from the market or product recalls; |
| • | fines, warning letters or holds on post-approval clinical trials; |
| • | refusal of the FDA to approve pending NDAs or supplements to approved NDAs, or suspension or revocation of product approvals; |
| • | product seizure or detention, or refusal to permit the import or export of products; or |
| • | injunctions or the imposition of civil or criminal penalties. |
The FDA strictly regulates marketing, labeling, advertising and promotion of products that are placed on the market. Drugs may be promoted only for the approved indications and in accordance with the provisions of the approved label. The FDA and other agencies actively enforce the laws and regulations prohibiting the promotion of off-label uses, and a company that is found to have improperly promoted off-label uses may be subject to significant liability.
In addition, the distribution of prescription pharmaceutical products is subject to the Prescription Drug Marketing Act, or PDMA, which regulates the distribution of drugs and drug samples at the federal level, and sets minimum standards for the registration and regulation of drug distributors by the states. Both the PDMA and state laws limit the distribution of prescription pharmaceutical product samples and impose requirements to ensure accountability in distribution.
Section 505(b)(2) NDAs
NDAs for most new drug products are based on two full clinical trials which must contain substantial evidence of the safety and efficacy of the proposed new product. These applications are submitted under Section 505(b)(1) of the FDCA. The FDA is, however, authorized to approve an alternative type of NDA under Section 505(b)(2) of the FDCA. This type of application allows the applicant to rely, in part, on the FDA’s previous findings of safety and efficacy for a similar product, or published literature. Specifically, Section 505(b)(2) applies to NDAs for a drug for which the investigations made to show whether or not the drug is safe for use and effective in use and relied upon by the applicant for approval of the application “were not conducted by or for the applicant and for which the applicant has not obtained a right of reference or use from the person by or for whom the investigations were conducted.”
Thus, Section 505(b)(2) authorizes the FDA to approve an NDA based on safety and effectiveness data that were not developed by the applicant. NDAs filed under Section 505(b)(2) may provide an alternate and potentially more expeditious pathway to FDA approval for new or improved formulations or new uses of previously approved products. If the Section 505(b)(2) applicant can establish that reliance on the FDA’s previous approval is scientifically appropriate, the applicant may eliminate the need to conduct certain preclinical studies or clinical trials of the new product. The FDA may also require companies to perform additional studies or measurements to support the change from the approved product. The FDA may then approve the new drug candidate for all or some of the label indications for which the referenced product has been approved, as well as for any new indication sought by the Section 505(b)(2) applicant.
Abbreviated New Drug Applications for Generic Drugs
In 1984, with passage of the Hatch-Waxman Amendments to the FDCA, Congress authorized the FDA to approve generic drugs that are the same as drugs previously approved by the FDA under the NDA provisions of the statute. To obtain approval of a generic drug, an applicant must submit an abbreviated new drug application, or ANDA, to the agency. In support of such applications, a generic manufacturer may rely on the preclinical and clinical testing previously conducted for a drug product previously approved under an NDA, known as the reference-listed drug, or RLD.
Specifically, in order for an ANDA to be approved, the FDA must find that the generic version is identical to the RLD with respect to the active ingredients, the route of administration, the dosage form, and the strength of the drug. At the same time, the FDA must also determine that the generic drug is “bioequivalent” to the innovator drug. Under the statute, a generic drug is bioequivalent to a RLD if “the rate and extent of absorption of the drug do not show a significant difference from the rate and extent of absorption of the listed drug.”
| 26 |
Upon approval of an ANDA, the FDA indicates whether the generic product is “therapeutically equivalent” to the RLD in its publication Approved Drug Products with Therapeutic Equivalence Evaluations, also referred to as the Orange Book. Clinicians and pharmacists consider a therapeutic equivalent generic drug to be fully substitutable for the RLD. In addition, by operation of certain state laws and numerous health insurance programs, the FDA’s designation of therapeutic equivalence often results in substitution of the generic drug without the knowledge or consent of either the prescribing clinicians or patient.
Under the Hatch-Waxman Amendments, the FDA might not approve an ANDA until any applicable period of non-patent exclusivity for the RLD has expired. The FDCA provides a period of five years of non-patent data exclusivity for a new drug containing a new chemical entity. For the purposes of this provision, a new chemical entity, or NCE, is a drug that contains no active moiety that has previously been approved by the FDA in any other NDA. An active moiety is the molecule or ion responsible for the physiological or pharmacological action of the drug substance. In cases where such NCE exclusivity has been granted, an ANDA may not be filed with the FDA until the expiration of five years unless the submission is accompanied by a Paragraph IV certification, in which case the applicant may submit its application four years following the original product approval.
The FDCA also provides for a period of three years of exclusivity if the NDA includes reports of one or more new clinical investigations, other than bioavailability or bioequivalence studies, that were conducted by or for the applicant and are essential to the approval of the application. This three-year exclusivity period often protects changes to a previously approved drug product, such as a new dosage form, route of administration, combination or indication. Three-year exclusivity would be available for a drug product that contains a previously approved active moiety, provided the statutory requirement for a new clinical investigation is satisfied. Unlike five-year NCE exclusivity, an award of three-year exclusivity does not block the FDA from accepting ANDAs seeking approval for generic versions of the drug as of the date of approval of the original drug product. The FDA typically makes decisions about awards of data exclusivity shortly before a product is approved.
Hatch-Waxman Patent Certification and the 30-Month Stay
Upon approval of an NDA or a supplement thereto, NDA sponsors are required to list with the FDA each patent with claims that cover the applicant’s product or an approved method of using the product. Each of the patents listed by the NDA sponsor is published in the Orange Book. When an ANDA applicant files its application with the FDA, the applicant is required to certify to the FDA concerning any patents listed for the reference product in the Orange Book, except for patents covering methods of use for which the ANDA applicant is not seeking approval. To the extent that the Section 505(b)(2) applicant is relying on studies conducted for an already approved product, the applicant is required to certify to the FDA concerning any patents listed for the approved product in the Orange Book to the same extent that an ANDA applicant would.
Specifically, the applicant must certify with respect to each patent that:
| • | the required patent information has not been filed; |
| • | the listed patent has expired; |
| • | the listed patent has not expired, but will expire on a particular date and approval is sought after patent expiration; or |
| • | the listed patent is invalid, unenforceable or will not be infringed by the new product. |
A certification that the new product will not infringe the already approved product’s listed patents or that such patents are invalid or unenforceable is called a Paragraph IV certification. If the applicant does not challenge the listed patents or indicates that it is not seeking approval of a patented method of use, the ANDA application will not be approved until all the listed patents claiming the referenced product have expired (other than method of use patents involving indications for which the ANDA applicant is not seeking approval).
If the ANDA applicant has provided a Paragraph IV certification to the FDA, the applicant must also send notice of the Paragraph IV certification to the NDA and patent holders once the ANDA has been accepted for filing by the FDA. The NDA and patent holders may then initiate a patent infringement lawsuit in response to the notice of the Paragraph IV certification. The filing of a patent infringement lawsuit within 45 days after the receipt of a Paragraph IV certification automatically prevents the FDA from approving the ANDA until the earlier of 30 months after the receipt of the Paragraph IV notice, expiration of the patent, or a decision in the infringement case that is favorable to the ANDA applicant.
To the extent that the Section 505(b)(2) applicant is relying on studies conducted for an already approved product, the applicant is required to certify to the FDA concerning any patents listed for the approved product in the Orange Book to the same extent that an ANDA applicant would. As a result, approval of a Section 505(b)(2) NDA can be stalled until all the listed patents claiming the referenced product have expired, until any non-patent exclusivity, such as exclusivity for obtaining approval of a new chemical entity, listed in the Orange Book for the referenced product has expired, and, in the case of a Paragraph IV certification and subsequent patent infringement suit, until the earlier of 30 months, settlement of the lawsuit or a decision in the infringement case that is favorable to the Section 505(b)(2) applicant.
| 27 |
Pediatric Studies and Exclusivity
Under the Pediatric Research Equity Act of 2003, an NDA or supplement thereto must contain data that are adequate to assess the safety and effectiveness of the drug product for the claimed indications in all relevant pediatric subpopulations, and to support dosing and administration for each pediatric subpopulation for which the product is safe and effective. With enactment of the Food and Drug Administration Safety and Innovation Act, or FDASIA, in 2012, sponsors must also submit pediatric study plans prior to the assessment data. Those plans must contain an outline of the proposed pediatric study or studies the applicant plans to conduct, including study objectives and design, any deferral or waiver requests, and other information required by regulation. The applicant, the FDA, and the FDA’s internal review committee must then review the information submitted, consult with each other, and agree upon a final plan. The FDA or the applicant may request an amendment to the plan at any time.
The FDA may, on its own initiative or at the request of the applicant, grant deferrals for submission of some or all pediatric data until after approval of the product for use in adults, or full or partial waivers from the pediatric data requirements. Additional requirements and procedures relating to deferral requests and requests for extension of deferrals are contained in FDASIA. Unless otherwise required by regulation, the pediatric data requirements do not apply to products with orphan designation.
Pediatric exclusivity is another type of non-patent marketing exclusivity in the United States and, if granted, provides for the attachment of an additional six months of marketing protection to the term of any existing regulatory exclusivity, including the non-patent and orphan exclusivity. This six-month exclusivity may be granted if an NDA sponsor submits pediatric data that fairly respond to a written request from the FDA for such data. The data do not need to show the product to be effective in the pediatric population studied; rather, if the clinical trial is deemed to fairly respond to the FDA’s request, the additional protection is granted. If reports of requested pediatric studies are submitted to and accepted by the FDA within the statutory time limits, whatever statutory or regulatory periods of exclusivity or patent protection cover the product are extended by six months. This is not a patent term extension, but it effectively extends the regulatory period during which the FDA cannot approve another application.
Patent Term Restoration and Extension
A patent claiming a new drug product may be eligible for a limited patent term extension under the Hatch-Waxman Amendments, which permits a patent restoration of up to five years for patent term lost during product development and the FDA regulatory review. The restoration period granted is typically one-half the time between the effective date of an IND and the submission date of an NDA, plus the time between the submission date of an NDA and the ultimate approval date. Patent term restoration cannot be used to extend the remaining term of a patent past a total of 14 years from the product’s approval date. Only one patent applicable to an approved drug product is eligible for the extension, and the application for the extension must be submitted prior to the expiration of the patent in question. A patent that covers multiple drugs for which approval is sought can only be extended in connection with one of the approvals. The USPTO reviews and approves the application for any patent term extension or restoration in consultation with the FDA. We cannot provide any assurance that any patent term extension with respect to any U.S. patent will be obtained and, if obtained, the duration of such extension, in connection with any of our product candidates.
The 21st Century Cures Act
On December 13, 2016, President Obama signed the 21st Century Cures Act, or the Cures Act, into law. The Cures Act is designed to modernize and personalize healthcare, spur innovation and research, and streamline the discovery and development of new therapies through increased federal funding of particular programs. It authorizes increased funding for the FDA to spend on innovation projects. The new law also amends the Public Health Service Act, or the PHSA, to reauthorize and expand funding for the NIH. The Act establishes the NIH Innovation Fund to pay for the cost of development and implementation of a strategic plan, early stage investigators and research. It also charges NIH with leading and coordinating expanded pediatric research. Further, the Cures Act directs the Centers for Disease Control and Prevention to expand surveillance of neurological diseases.
With amendments to the FDCA and the PHSA, Title III of the Cures Act seeks to accelerate the discovery, development, and delivery of new medicines and medical technologies. To that end, and among other provisions, the Cures Act reauthorizes the existing priority review voucher program for certain drugs intended to treat rare pediatric diseases until 2020; creates a new priority review voucher program for drug applications determined to be material national security threat medical countermeasure applications; revises the FDCA to streamline review of combination product applications; requires FDA to evaluate the potential use of “real world evidence” to help support approval of new indications for approved drugs; provides a new “limited population” approval pathway for antibiotic and antifungal drugs intended to treat serious or life-threatening infections; and authorizes FDA to designate a drug as a “regenerative advanced therapy,” thereby making it eligible for certain expedited review and approval designations.
| 28 |
Review and Approval of Drug Products in the European Union
In order to market any product outside of the United States, a company must also comply with numerous and varying regulatory requirements of other countries and jurisdictions regarding quality, safety and efficacy and governing, among other things, clinical trials, marketing authorization, commercial sales and distribution of products. Whether or not it obtains FDA approval for a product, the company would need to obtain the necessary approvals by the comparable foreign regulatory authorities before it can commence clinical trials or marketing of the product in those countries or jurisdictions. The approval process ultimately varies between countries and jurisdictions and can involve additional product testing and additional administrative review periods. The time required to obtain approval in other countries and jurisdictions might differ from and be longer than that required to obtain FDA approval. Regulatory approval in one country or jurisdiction does not ensure regulatory approval in another, but a failure or delay in obtaining regulatory approval in one country or jurisdiction may negatively impact the regulatory process in others.
Procedures Governing Approval of Drug Products in the European Union
Pursuant to the European Clinical Trials Directive, a system for the approval of clinical trials in the European Union has been implemented through national legislation of the member states. Under this system, an applicant must obtain approval from the competent national authority of a European Union member state in which the clinical trial is to be conducted. Furthermore, the applicant may only start a clinical trial after a competent ethics committee has issued a favorable opinion. Clinical trial application must be accompanied by an investigational medicinal product dossier with supporting information prescribed by the European Clinical Trials Directive and corresponding national laws of the member states and further detailed in applicable guidance documents.
To obtain marketing approval of a product under European Union regulatory systems, an applicant must submit a marketing authorization application, or MAA, either under a centralized or decentralized procedure. The centralized procedure provides for the grant of a single marketing authorization by the European Commission that is valid for all European Union member states. The centralized procedure is compulsory for specific products, including for medicines produced by certain biotechnological processes, products designated as orphan medicinal products, advanced therapy products and products with a new active substance indicated for the treatment of certain diseases. For products with a new active substance indicated for the treatment of other diseases and products that are highly innovative or for which a centralized process is in the interest of patients, the centralized procedure may be optional.
Under the centralized procedure, the Committee for Medicinal Products for Human Use, or the CHMP, established at the European Medicines Agency, or EMA, is responsible for conducting the initial assessment of a product. The CHMP is also responsible for several post-authorization and maintenance activities, such as the assessment of modifications or extensions to an existing marketing authorization. Under the centralized procedure in the European Union, the maximum timeframe for the evaluation of an MAA is 210 days, excluding clock stops, when additional information or written or oral explanation is to be provided by the applicant in response to questions of the CHMP. Accelerated evaluation might be granted by the CHMP in exceptional cases, when a medicinal product is of major interest from the point of view of public health and in particular from the viewpoint of therapeutic innovation. In this circumstance, the EMA ensures that the opinion of the CHMP is given within 150 days.
The decentralized procedure is available to applicants who wish to market a product in various European Union member states where such product has not received marketing approval in any European Union member states before. The decentralized procedure provides for approval by one or more other, or concerned, member states of an assessment of an application performed by one member state designated by the applicant, known as the reference member state. Under this procedure, an applicant submits an application based on identical dossiers and related materials, including a draft summary of product characteristics, and draft labeling and package leaflet, to the reference member state and concerned member states. The reference member state prepares a draft assessment report and drafts of the related materials within 210 days after receipt of a valid application. Within 90 days of receiving the reference member state’s assessment report and related materials, each concerned member state must decide whether to approve the assessment report and related materials.
If a member state cannot approve the assessment report and related materials on the grounds of potential serious risk to public health, the disputed points are subject to a dispute resolution mechanism and may eventually be referred to the European Commission, whose decision is binding on all member states.
Within this framework, manufacturers may seek approval of hybrid medicinal products under Article 10(3) of Directive 2001/83/EC. Hybrid applications rely, in part, on information and data from a reference product and new data from appropriate preclinical tests and clinical trials. Such applications are necessary when the proposed product does not meet the strict definition of a generic medicinal product, or bioavailability studies cannot be used to demonstrate bioequivalence, or there are changes in the active substance(s), therapeutic indications, strength, pharmaceutical form or route of administration of the generic product compared to the reference medicinal product. In such cases the results of tests and clinical trials must be consistent with the data content standards required in the Annex to the Directive 2001/83/EC, as amended by Directive 2003/63/EC.
| 29 |
Hybrid medicinal product applications have automatic access to the centralized procedure when the reference product was authorized for marketing via that procedure. Where the reference product was authorized via the decentralized procedure, a hybrid application may be accepted for consideration under the centralized procedure if the applicant shows that the medicinal product constitutes a significant therapeutic, scientific or technical innovation, or the granting of a community authorization for the medicinal product is in the interest of patients at the community level.
Clinical Trial Approval in the European Union
Requirements for the conduct of clinical trials in the European Union including Good Clinical Practice, or GCP, are set forth in the Clinical Trials Directive 2001/20/EC and the GCP Directive 2005/28/EC. Pursuant to Directive 2001/20/EC and Directive 2005/28/EC, as amended, a system for the approval of clinical trials in the European Union has been implemented through national legislation of the E.U. member states. Under this system, approval must be obtained from the competent national authority of each E.U. member state in which a study is planned to be conducted. To this end, a CTA is submitted, which must be supported by an investigational medicinal product dossier, or IMPD, and further supporting information prescribed by Directive 2001/20/EC and Directive 2005/28/EC and other applicable guidance documents. Furthermore, a clinical trial may only be started after a competent ethics committee has issued a favorable opinion on the clinical trial application in that country.
In April 2014, the E.U. passed the new Clinical Trials Regulation, (EU) No 536/2014, which will replace the current Clinical Trials Directive 2001/20/EC. To ensure that the rules for clinical trials are identical throughout the European Union, the new E.U. clinical trials legislation was passed as a regulation that is directly applicable in all E.U. member states. All clinical trials performed in the European Union are required to be conducted in accordance with the Clinical Trials Directive 2001/20/EC until the new Clinical Trials Regulation (EU) No 536/2014 becomes applicable. According to the current plans of EMA, the new Clinical Trials Regulation will become applicable in 2019. The Clinical Trials Directive 2001/20/EC will, however, still apply three years from the date of entry into application of the Clinical Trials Regulation to (i) clinical trials applications submitted before the entry into application and (ii) clinical trials applications submitted within one year after the entry into application if the sponsor opts for old system.
The new Clinical Trials Regulation aims to simplify and streamline the approval of clinical trial in the European Union. The main characteristics of the regulation include: a streamlined application procedure via a single entry point, the E.U. portal; a single set of documents to be prepared and submitted for the application as well as simplified reporting procedures that will spare sponsors from submitting broadly identical information separately to various bodies and different member states; a harmonized procedure for the assessment of applications for clinical trials, which is divided in two parts (Part I is assessed jointly by all member states concerned, and Part II is assessed separately by each member state concerned); strictly defined deadlines for the assessment of clinical trial applications; and the involvement of the ethics committees in the assessment procedure in accordance with the national law of the member state concerned but within the overall timelines defined by the Clinical Trials Regulation.
Periods of Authorization and Renewals
Marketing authorization is valid for five years in principle and the marketing authorization may be renewed after five years on the basis of a re-evaluation of the risk-benefit balance by the EMA or by the competent authority of the authorizing member state. To this end, the marketing authorization holder must provide the EMA or the competent authority with a consolidated version of the file in respect of quality, safety and efficacy, including all variations introduced since the marketing authorization was granted, at least six months before the marketing authorization ceases to be valid. Once renewed, the marketing authorization is valid for an unlimited period, unless the European Commission or the competent authority decides, on justified grounds relating to pharmacovigilance, to proceed with one additional five-year renewal. Any authorization which is not followed by the actual placing of the drug on the European Union market (in case of centralized procedure) or on the market of the authorizing member state within three years after authorization ceases to be valid (the so-called sunset clause).
Data and Market Exclusivity in the European Union
In the European Union, new chemical entities qualify for eight years of data exclusivity upon marketing authorization and an additional two years of market exclusivity. This data exclusivity, if granted, prevents regulatory authorities in the European Union from referencing the innovator’s data to assess a generic (abbreviated) application for eight years, after which generic marketing authorization can be submitted, and the innovator’s data may be referenced, but not approved for two years. The overall 10-year period will be extended to a maximum of 11 years if, during the first eight years of those 10 years, the marketing authorization holder obtains an authorization for one or more new therapeutic indications which, during the scientific evaluation prior to their authorization, are held to bring a significant clinical benefit in comparison with existing therapies. Even if a compound is considered to be a new chemical entity and the sponsor is able to gain the prescribed period of data exclusivity, another company nevertheless could also market another version of the product if such company can complete a full MAA with a complete database of pharmaceutical test, preclinical tests and clinical trials and obtain marketing approval of its product.
| 30 |
Regulatory Requirements after Marketing Authorization
As in the United States, both marketing authorization holders and manufacturers of medicinal products are subject to comprehensive regulatory oversight by the EMA and the competent authorities of the individual E.U. Member States both before and after grant of the manufacturing and marketing authorizations. The holder of an E.U. marketing authorization for a medicinal product must, for example, comply with E.U. pharmacovigilance legislation and its related regulations and guidelines which entail many requirements for conducting pharmacovigilance, or the assessment and monitoring of the safety of medicinal products. The manufacturing process for medicinal products in the European Union is also highly regulated and regulators may shut down manufacturing facilities that they believe do not comply with regulations. Manufacturing requires a manufacturing authorization, and the manufacturing authorization holder must comply with various requirements set out in the applicable E.U. laws, including compliance with E.U. cGMP standards when manufacturing medicinal products and active pharmaceutical ingredients.
In the European Union, the advertising and promotion of approved products are subject to E.U. Member States’ laws governing promotion of medicinal products, interactions with clinicians, misleading and comparative advertising and unfair commercial practices. In addition, other legislation adopted by individual E.U. Member States may apply to the advertising and promotion of medicinal products. These laws require that promotional materials and advertising in relation to medicinal products comply with the product’s Summary of Product Characteristics, or SmPC, as approved by the competent authorities. Promotion of a medicinal product that does not comply with the SmPC is considered to constitute off-label promotion, which is prohibited in the European Union.
Pharmaceutical Coverage, Pricing and Reimbursement
Significant uncertainty exists as to the coverage and reimbursement status of products approved by the FDA and other government authorities. Sales of products will depend, in part, on the extent to which third-party payors, including government health programs in the United States such as Medicare and Medicaid, commercial health insurers and managed care organizations, provide coverage, and establish adequate reimbursement levels for, such products. The process for determining whether a payor will provide coverage for a product may be separate from the process for setting the price or reimbursement rate that the payor will pay for the product once coverage is approved. Third-party payors are increasingly challenging the prices charged, examining the medical necessity, and reviewing the cost-effectiveness of medical products and services and imposing controls to manage costs. Third-party payors may limit coverage to specific products on an approved list, or formulary, which might not include all of the approved products for a particular indication.
In order to secure coverage and reimbursement for any product that might be approved for sale, a company may need to conduct expensive pharmacoeconomic studies in order to demonstrate the medical necessity and cost-effectiveness of the product, in addition to the costs required to obtain FDA or other comparable regulatory approvals. Nonetheless, product candidates might not be considered medically necessary or cost effective. Additionally, a payor’s decision to provide coverage for a drug product does not imply that an adequate reimbursement rate will be approved. Further, one payor’s determination to provide coverage for a drug product does not assure that other payors will also provide coverage for the drug product. Third-party reimbursement might not be sufficient to maintain price levels high enough to realize an appropriate return on investment in product development.
The containment of healthcare costs also has become a priority of federal, state and foreign governments and the prices of drugs have been a focus in this effort. Governments have shown significant interest in implementing cost-containment programs, including price controls, restrictions on reimbursement and requirements for substitution of generic products. Adoption of price controls and cost-containment measures, and adoption of more restrictive policies in jurisdictions with existing controls and measures, could further limit a company’s revenue generated from the sale of any approved products. Coverage policies and third-party reimbursement rates may change at any time. Even if favorable coverage and reimbursement status is attained for one or more products for which a company or its collaborators receive regulatory approval, less favorable coverage policies and reimbursement rates may be implemented in the future.
Outside the United States, ensuring adequate coverage and payment for our product candidates will face challenges. Pricing of prescription pharmaceuticals is subject to governmental control in many countries. Pricing negotiations with governmental authorities can extend well beyond the receipt of regulatory marketing approval for a product and may require us to conduct a clinical trial that compares the cost effectiveness of our product candidates or products to other available therapies. The conduct of such a clinical trial could be expensive and result in delays in our commercialization efforts.
In the European Union, pricing and reimbursement schemes vary widely from country to country. Some countries provide that drug products may be marketed only after a reimbursement price has been agreed. Some countries may require the completion of additional studies that compare the cost-effectiveness of a particular drug candidate to currently available therapies. For example, the European Union provides options for its member states to restrict the range of drug products for which their national health insurance systems provide reimbursement and to control the prices of medicinal products for human use. European Union member states may approve a specific price for a drug product or it may instead adopt a system of direct or indirect controls on the profitability of the company placing the drug product on the market. Other member states allow companies to fix their own prices for drug products, but monitor and control company profits. The downward pressure on healthcare costs in general, particularly prescription drugs, has become intense. As a result, increasingly high barriers are being erected to the entry of new products. In addition, in some countries, cross-border imports from low-priced markets exert competitive pressure that may reduce pricing within a country. Any country that has price controls or reimbursement limitations for drug products might not allow favorable reimbursement and pricing arrangements.
| 31 |
Healthcare Law and Regulation
Arrangements with healthcare providers, pharmacists, consultants, third-party payors and customers are subject to broadly applicable fraud and abuse and other healthcare laws and regulations that may constrain our business and/or financial arrangements. Such restrictions under applicable federal and state healthcare laws and regulations include without limitation the following:
| • | the federal Anti-Kickback Statute, which prohibits, among other things, persons and entities from knowingly and willfully soliciting, offering, receiving or providing remuneration, directly or indirectly, in cash or in kind, to induce or reward either the referral of an individual for, or the purchase, order or recommendation of, any good or service, for which payment may be made, in whole or in part, under a federal healthcare program such as Medicare and Medicaid; |
| • | the federal civil and criminal false claims laws, including the civil False Claims Act, and civil monetary penalties laws, which prohibit individuals or entities from, among other things, knowingly presenting, or causing to be presented, to the federal government, claims for payment that are false or fraudulent or making a false statement to avoid, decrease or conceal an obligation to pay money to the federal government; |
| • | the federal Health Insurance Portability and Accountability Act of 1996, or HIPAA, which created additional federal criminal laws that prohibit, among other things, knowingly and willingly executing, or attempting to execute, a scheme to defraud any healthcare benefit program or making false statements relating to healthcare matters; |
| • | the Health Information Technology for Economic and Clinical Health Act and its implementing regulations, which amended HIPAA to impose additional obligations, including mandatory contractual terms regarding the privacy, security and transmission of individually identifiable health information; |
| • | the federal transparency requirements known as the federal Physician Payments Sunshine Act, under the Patient Protection and Affordable Care Act, as amended by the Health Care and Education Reconciliation Act of 2010, or the Affordable Care Act, which requires certain manufacturers of drugs, devices, biologics and medical supplies to report annually to the Centers for Medicare & Medicaid Services, or CMS, within the United States Department of Health and Human Services, information related to payments and other transfers of value to clinicians and teaching hospitals and clinician ownership and investment interests; and |
| • | analogous state and foreign laws and regulations, such as state anti-kickback and false claims laws, which may apply to healthcare items or services that are reimbursed by non-governmental third-party payors, including private insurers. |
Some state laws require pharmaceutical companies to comply with the pharmaceutical industry’s voluntary compliance guidelines and the relevant compliance guidance promulgated by the federal government in addition to requiring drug manufacturers to report information related to payments to clinicians and other healthcare providers or marketing expenditures. State and foreign laws also govern the privacy and security of health information in some circumstances, many of which differ from each other in significant ways and often are not preempted by HIPAA, thus complicating compliance efforts.
Healthcare Reform
A primary trend in the U.S. healthcare industry and elsewhere is cost containment. There have been several federal and state proposals during the last few years regarding the pricing of pharmaceutical and biopharmaceutical products, limiting coverage and reimbursement for drugs and other medical products, government control, and other changes to the healthcare system in the United States.
The Patient Protection and Affordable Care Act of 2010, or ACA, included provisions related to the coverage of and payment for prescription drugs under government healthcare programs. With regard to pharmaceutical products, among other things, the ACA is designed to expand and increase industry rebates for drugs covered under Medicaid programs, impose an annual fee on branded pharmaceutical manufacturers and make changes to the coverage requirements under the Medicare Part D program. Among the provisions of the ACA of importance to our potential drug candidates are:
| • | an annual, nondeductible fee on any entity that manufactures or imports specified branded prescription drugs and biologic products, apportioned among these entities according to their market share in certain government healthcare programs, although this fee would not apply to sales of certain products approved exclusively for orphan indications; |
| 32 |
| • | expansion of eligibility criteria for Medicaid programs by, among other things, allowing states to offer Medicaid coverage to certain individuals with income at or below 133% of the federal poverty level, thereby potentially increasing a manufacturer’s Medicaid rebate liability; |
| • | expanded manufacturers’ rebate liability under the Medicaid Drug Rebate Program by increasing the minimum rebate for both branded and generic drugs and revising the definition of “average manufacturer price,” or AMP, for calculating and reporting Medicaid drug rebates on outpatient prescription drug prices and extending rebate liability to prescriptions for individuals enrolled in Medicare Advantage plans; |
| • | addressed a new methodology by which rebates owed by manufacturers under the Medicaid Drug Rebate Program are calculated for drugs that are inhaled, infused, instilled, implanted or injected; |
| • | expanded the types of entities eligible for the 340B drug discount program; |
| • | established the Medicare Part D coverage gap discount program by requiring manufacturers to provide a 50% point-of-sale-discount off the negotiated price of applicable brand drugs to eligible beneficiaries during their coverage gap period as a condition for the manufacturers’ outpatient drugs to be covered under Medicare Part D; |
| • | a new Patient-Centered Outcomes Research Institute to oversee, identify priorities in, and conduct comparative clinical effectiveness research, along with funding for such research; |
| • | the Independent Payment Advisory Board, or IPAB, which has authority to recommend certain changes to the Medicare program to reduce expenditures by the program that could result in reduced payments for prescription drugs. However, the IPAB implementation has been not been clearly defined. The ACA provided that under certain circumstances, IPAB recommendations will become law unless Congress enacts legislation that will achieve the same or greater Medicare cost savings; and |
| • | established the Center for Medicare and Medicaid Innovation within CMS to test innovative payment and service delivery models to lower Medicare and Medicaid spending, potentially including prescription drug spending. Funding has been allocated to support the mission of the Center for Medicare and Medicaid Innovation from 2011 to 2019. |
The ACA also included reporting and disclosure requirements for pharmaceutical and device manufacturers with regard to payments or other transfers of value made to certain health care providers. These reports must be submitted annually and are placed on a public database. If we fail to provide these reports, or if the reports we provide are not accurate, we could be subject to significant penalties. A related provision of the Affordable Care Act requires pharmaceutical companies to annually report samples distributed to physicians, though the law does not include any specific penalties for failure to submit these reports.
The Budget Control Act of 2011, among other things, created measures for spending reductions by Congress. A Joint Select Committee on Deficit Reduction, tasked with recommending a targeted deficit reduction of at least $1.2 trillion for the years 2012 through 2021, was unable to reach required goals, thereby triggering the legislation’s automatic reduction to several government programs. This includes aggregate reductions of Medicare payments to providers of up to 2% per fiscal year, which went into effect in April 2013 and will remain in effect through 2024 unless additional Congressional action is taken. In addition, the American Taxpayer Relief Act of 2012, among other things, further reduced Medicare payments to several providers, including hospitals, imaging centers and cancer treatment centers, and increased the statute of limitations period for the government to recover overpayments to providers from three to five years.
Pharmaceutical pricing has been a focus of the Trump administration, which has also continued efforts to repeal the ACA. It remains to be seen, however, what impact new legislation, if passed, will have on the availability of healthcare and containing or lowering the cost of healthcare. The elimination of the ACA’s individual mandate, which imposed penalties to individuals who failed to obtain insurance coverage, could ultimately result in fewer individuals having health insurance coverage, which changes to the ACA’s minimum coverage requirements may lead to policies with less generous benefits. While the timing and scope of any potential future legislation to repeal and replace ACA provisions is highly uncertain in many respects, it is also possible that some of the ACA provisions that generally are not favorable for the research-based pharmaceutical industry could also be repealed along with ACA coverage expansion provisions.
Employees
As of March 27, 2019, we had 22 full-time and two part-time employees. We also engage various consultants and contractors.
| 33 |
Available Information
Our Annual Reports on Form 10-K, Quarterly Reports on Form 10-Q, Current Reports on Form 8-K, and amendments to those reports filed or furnished pursuant to Section 13(a) or 15(d) of the Exchange Act, are available free of charge on our website at www.eyenoviabio.com as soon as reasonably practicable after electronically filing or furnishing such material to the SEC. The SEC maintains a website (www.sec.gov) that includes our reports, proxy statements and other information.
| 34 |
| Item 1A. | Risk Factors. |
Investing in our common stock involves a high degree of risk. You should carefully consider the risks described below, as well as the other information in this report, including our financial statements and the related notes and “Management’s Discussion and Analysis of Financial Condition and Results of Operations,” before deciding whether to invest in our common stock. The occurrence of any of the events or developments described below could harm our business, financial condition, results of operations and growth prospects. In such an event, the market price of our common stock could decline and you might lose all or part of your investment.
RISKS RELATED TO OUR FINANCIAL POSITION AND NEED FOR ADDITIONAL CAPITAL
We have incurred operating losses since our inception. We expect to continue to incur losses for the foreseeable future and might never achieve or maintain profitability.
We have incurred net losses of approximately $36.5 million since inception, have not generated any product sales revenue and have not achieved profitable operations. Our net losses were approximately $17.3 million and $5.1 million for the years ended December 31, 2018 and 2017, respectively. We expect to continue to incur substantial losses in future periods while we continue to test and prepare our product candidates for the market. It could be several years, if ever, before we have a commercialized drug. The net losses we incur may fluctuate significantly from quarter to quarter and year to year. We anticipate that our expenses will increase substantially if, and as, we:
| • | continue the ongoing and planned preclinical and clinical development of our product candidates; |
| • | initiate preclinical studies and clinical trials for any additional product candidates that we may pursue in the future; |
| • | seek marketing approvals for our current and future product candidates that successfully complete clinical trials; |
| • | continue to develop a sales, marketing and distribution infrastructure to commercialize any product candidate for which we may obtain marketing approval; |
| • | develop, maintain, expand and protect our intellectual property portfolio; |
| • | implement operational, financial and management systems; and |
| • | attract, hire and retain additional administrative, clinical, regulatory and scientific personnel. |
Even if we are able to generate revenues from the sale of our potential products, we might not become profitable and may need to obtain additional funding to continue operations. If we fail to become profitable or are unable to sustain profitability on a continuing basis, then we may be unable to continue our operations at planned levels and be forced to reduce our operations. Even if we do achieve profitability, we might not be able to sustain or increase profitability on a quarterly or annual basis. Our failure to become and remain profitable would decrease the value of our company and could impair our ability to raise capital, expand our business or continue our operations. In addition, because of the numerous risks and uncertainties associated with product development, we are unable to predict the timing or amount of increased expenses, or when, or if, we will be able to achieve or maintain profitability.
Our relatively short operating history may make it difficult for investors to evaluate the success of our business to date and to assess our future viability.
We are a clinical-stage company which commenced active operations in 2014. Our operations to date have been limited to organizing and staffing our company, business planning, raising capital and developing our product candidates. We have not yet demonstrated our ability to obtain regulatory approval, develop an in-house manufacturing facility, manufacture a commercial scale product, or arrange for a third party to do so on our behalf, or conduct sales and marketing activities necessary for successful product commercialization. Consequently, any predictions about our future success or viability might not be as accurate as they could be if we had a longer operating history.
In addition, as a new business, we may encounter unforeseen expenses, difficulties, complications, delays and other known and unknown factors. We will need to transition from a company with a product development focus to a company capable of supporting commercial and manufacturing activities. We might not be successful in such a transition.
| 35 |
We may need to raise additional capital in order to continue developing our product candidates. Such funding might not be available on acceptable terms, or at all. Failure to obtain this necessary capital when needed may force us to delay, limit or terminate certain of our product development efforts or other operations.
We may require substantial additional funding to fund completion of our research and development activities. We also may require substantial funding to fund our commercialization efforts, operating expenses and other activities. If additional funds are not available when needed, we may need to significantly scale back or cease our operations.
We will require substantial funds to discover, develop, protect and conduct research and development for our product candidates, including preclinical testing and clinical trials of any of our product candidates, and to manufacture and market any such product that may be approved for commercial sale. Even if we are successful in raising additional capital, such funds may prove to be insufficient for these activities. Our financing needs may change substantially because of research and development costs, competition, clinical trials and costs arising from additional regulatory approvals. We might not succeed in raising needed additional funds. The timing of our need for additional funds will depend on a number of factors, which factors are difficult to predict or may be outside of our control, including:
| • | the resources, time and costs required to initiate and complete our research and development, to initiate and complete preclinical studies and clinical trials and to obtain regulatory approvals for our product candidates; |
| • | progress in our research and development programs; |
| • | the timing, receipt and amount of milestone, royalty and other payments from future collaborators, if any; and |
| • | costs necessary to protect our intellectual property. |
If our estimates and predictions relating to any of these factors are incorrect, we may need to modify our operating plan. Additional funds might not be available to us on acceptable terms, or at all, when needed.
Raising additional capital may cause dilution to our existing stockholders, restrict our operations or require us to relinquish rights to our technologies.
Until such time as we can generate substantial product revenues, we may attempt to finance our cash needs through equity offerings, debt financings, government and/or other third-party grants or other third-party funding, marketing and distribution arrangements and other collaborations, strategic alliances and licensing arrangements. To the extent that we raise additional capital through the sale of equity or convertible debt securities, our investors’ ownership interest will be diluted. Debt financing, if available, may involve agreements that include covenants limiting or restricting our ability to take specific actions, such as incurring additional debt, making capital expenditures or declaring dividends. If we are unable to obtain funding on a timely basis, we may be required to significantly curtail one or more clinical research or development programs, which would adversely impact potential revenues, results of operations and financial condition.
If we raise additional capital through future collaborations, strategic alliances or third-party licensing arrangements, we may have to relinquish valuable rights to our intellectual property, future revenue streams, research programs or product candidates, or grant licenses on terms that might not be favorable to us.
If we are unable to raise additional capital when needed, we may be required to delay, limit, reduce or terminate our product development or future commercialization efforts, or grant rights to develop and market product candidates that we would otherwise develop and market ourselves.
If we are unable to use carryforward tax losses or benefit from favorable tax legislation to reduce our taxes, our business, results of operations and financial condition may be adversely affected.
We have incurred significant net operating losses since our inception in July 2014. As of December 31, 2018, we had federal net operating loss carry-forwards of approximately $26 million, of which, approximately $11 million will expire at various dates from 2034 to 2037 for federal purposes. If we are unable to use carryforward tax losses to reduce our future taxable basis for corporate tax purposes, our business, results of operations and financial condition may be adversely affected.
Net operating loss and tax credit carry-forwards are subject to review and possible adjustment by the Internal Revenue Service and state tax authorities and may become subject to an annual limitation in the event of certain cumulative changes in the ownership interest of significant stockholders over a three-year period in excess of 50%, as defined under Sections 382 and 383 of the Internal Revenue Code of 1986, as amended, as well as similar state provisions. This could limit the amount of tax attributes that can be utilized annually to offset future taxable income or tax liabilities.
| 36 |
The federal and state income tax returns are generally subject to tax examinations. To the extent we have tax attribute carryforwards, the tax years in which the attribute was generated may still be adjusted upon examination by the Internal Revenue Service or state tax authorities to the extent utilized in a future period. Any unfavorable tax adjustment could have a significant impact on our results of operations and future cash flows. Furthermore, if the United States government decides to eliminate, or reduce the scope or the rate of any tax benefit, either of which it could decide to do at any time, our results of operations could be adversely affected.
RISKS RELATED TO DEVELOPMENT AND COMMERCIALIZATION OF OUR PRODUCT CANDIDATES
We might not be able to develop marketable products utilizing our technology and we might not be able to identify and successfully implement an alternative product development strategy.
The approach we have adopted to discover and develop product candidates is new and may never lead to marketable products. We have concentrated our efforts on developing therapeutic product candidates utilizing new advanced technology for drug delivery. To our knowledge, no person or company has developed any therapeutic product utilizing the same technology and no such ophthalmic micro-therapeutic product has been approved for marketing to date. We are leading a new field of ophthalmic micro-therapeutic research and development and the scientific discoveries that form the basis for our efforts to develop products are relatively new. The scientific evidence to support the feasibility of developing such products and treatments based on these discoveries is limited. Our focus solely on developing products utilizing our proprietary technology, as opposed to more traditional technology, increases the risks associated with investing in our stock. If we are unsuccessful in developing product candidates utilizing our technology or finding additional applications for our technology, we may be required to change the scope and direction of our product development activities. If we are not able to identify and successfully implement an alternative product development strategy, our business may fail.
Ophthalmic micro-therapeutic research and development is a highly uncertain undertaking. Our development efforts may be delayed for any number of reasons, in which case potential marketing approval or commercialization of our proprietary technology could be delayed or prevented.
Our research and development activities to develop ophthalmic micro-therapeutics utilizing our proprietary technology may be impeded due to scientific or technological difficulties or our lack of complete understanding of the challenges. Our research and development activities might not give rise to a marketable product and we might not succeed in developing a marketable product in a timely manner or in accordance with our estimated budgets. Even if we are successful in developing such products, there is no certainty that our products, when developed, will be found to be sufficiently effective and safe for use to receive regulatory approval for marketing, which would adversely impact our potential revenues, results of operations and financial condition.
Even if we complete the necessary preclinical studies and clinical trials, the marketing approval process is expensive, time-consuming and uncertain and may prevent us from obtaining approvals for the commercialization of some or all of our product candidates. If we are not able to obtain, or if there are delays in obtaining, required regulatory approvals, we will not be able to commercialize our product candidates, and our ability to generate revenue would be materially impaired.
Our business depends on the success of our lead research and development programs which will require significant additional clinical testing before we can seek regulatory approval and potentially launch commercial sales. In addition, we do not have any products that have gained regulatory approval. Our business and future success depends on our ability to obtain regulatory approval of and then successfully commercialize our lead product candidates. We are currently preparing for additional Phase III clinical trials and our ability to develop, obtain regulatory approval for, and successfully commercialize, products will depend on several factors, including the following:
| • | further ascertaining the FDA’s expectations with respect to the nonclinical and clinical testing requirements across the development programs; |
| • | successful completion of our current clinical trials or other clinical trials, which will depend substantially upon the satisfactory performance of third-party contractors; |
| • | successful achievement of the objectives of planned clinical trials, including manufacturability qualification of devices; |
| • | receipt of marketing approvals from the FDA, and similar regulatory authorities outside the United States; |
| • | establishing commercial manufacturing and supply arrangements; |
| 37 |
| • | establishing a manufacturing and commercial infrastructure; |
| • | acceptance of the products by patients, the medical community and third-party payors; |
| • | establishing market share while competing with other therapies; |
| • | successfully executing our pricing and reimbursement strategy; |
| • | a continued acceptable safety and adverse event profile of the products following regulatory approval; and |
| • | qualifying for, identifying, registering, maintaining, enforcing and defending intellectual property rights and claims covering the products. |
Our business strategy includes developing several pipeline product candidates over the next approximately three to four years which will require additional clinical and nonclinical development, regulatory review and approval in multiple jurisdictions, substantial investment, access to sufficient commercial manufacturing capacity and significant marketing efforts before we can generate any revenue from product sales. We are not permitted to market or promote any of our product candidates before we receive regulatory approval from the FDA or comparable foreign regulatory authorities, and we may never receive such regulatory approval for any of our product candidates. If we are unable to develop or receive marketing approval in a timely manner or at all, we could experience significant delays or an inability to commercialize the product, which would materially and adversely affect our business, financial condition and results of operations.
We may encounter substantial delays in or failure of our clinical trials.
If the clinical trials that we are required to conduct to gain regulatory approval are delayed or unsuccessful, we might not be able to market our prospective product candidates. Additionally, because our product candidates are based on new technologies, we expect that our human clinical trials will require extensive research and development and have substantial manufacturing and processing costs. Accordingly, our clinical trial costs could be significantly higher than other conventional therapeutic technologies or drug products and could be delayed if we do not have adequate means to fund them.
We may experience delays in any phase of the development and commercial launch of product candidates, including during research and development and clinical trials. Implementing a clinical trial is time-consuming and expensive, particularly human clinical trials, and the outcome of any clinical trial is uncertain. The completion of any of these clinical trials may be delayed or halted for numerous reasons, including, but not limited to, the following:
| • | the FDA, IRBs, European Union regulatory authorities, or the European Medicines Agency, and national authorities, or other regulatory authorities do not approve a clinical trial protocol or place a clinical trial on hold; |
| • | patients do not enroll in a clinical trial or results from patients are not received at the expected rate; |
| • | patients discontinue participation in a clinical trial prior to the scheduled endpoint set forth in the clinical protocol at a higher than expected rate, especially if such discontinuations interfere with our ability to assess the efficacy of our drug candidate; |
| • | patients experience adverse events from our treatment; |
| • | patients get hurt during a clinical trial for a variety of reasons that might not be related to our product candidates, including the advanced stage of their disease and other medical problems; |
| • | third-party clinical investigators do not perform the clinical trials in accordance with the anticipated schedule or consistent with the clinical trial protocol and good clinical practices or other third-party organizations do not perform data collection and analysis in a timely or accurate manner; |
| • | enrollment and sample size of our clinical trials may be substantially different than estimated which may lead to longer timelines and larger expenses; |
| • | third-party clinical investigators engage in activities that, even if not directly associated with our clinical trials, result in their debarment, loss of licensure, or other legal or regulatory sanction; |
| 38 |
| • | regulatory inspections of manufacturing facilities, which may, among other things, require us to undertake corrective action or suspend the clinical trials; |
| • | changes in governmental regulations or administrative actions; |
| • | the interim results of the clinical trial, if any, are inconclusive or negative; and |
| • | the study design, although approved and completed, is inadequate to demonstrate effectiveness and safety. |
Our dependence upon clinical trials in developing product candidates may impede them from reaching advanced stages of development, and might prevent all or part of our commercial operations. To date, the aforementioned situations regarding potential delays in research and development activities and clinical trials have yet to occur in a manner which adversely affects our research and development activities.
We may find it difficult to enroll an adequate number of patients in our clinical trials, which could delay or prevent us from proceeding with clinical trials of our product candidates.
Identifying and qualifying patients to participate in our clinical trials is critical to our success. Patient enrollment depends on many factors, including the size and nature of the patient population, eligibility criteria for the clinical trial, the proximity of patients to clinical sites, the design of the clinical protocol, the availability of competing clinical trials, the availability of new drugs approved for the indication the clinical trial is investigating, and clinicians’ and patients’ perceptions as to the potential advantages of the drug being studied in relation to other available therapies. Any inability to locate and enroll a sufficient number of patients for our clinical trials would result in significant delays, could require us to abandon one or more clinical trials altogether and could delay or prevent our receipt of necessary regulatory approvals. Enrollment delays in our clinical trials may also result in increased development costs for our product candidates, which would cause the value of our company to decline and limit our ability to obtain additional financing.
In addition, any negative results we may report in clinical trials of our product candidate may make it difficult or impossible to recruit and retain patients in other clinical trials of that same product candidate. Delays in the enrollment for any clinical trial of our product candidates will increase our costs, slow down our product development and approval process and delay or potentially jeopardize our ability to commence product sales and generate revenue. In addition, some of the factors that cause, or lead to, a delay in the commencement or completion of clinical trials may also ultimately lead to the denial of regulatory approval of our product candidates.
Our product candidates may cause undesirable side effects or have other properties that could delay or prevent their regulatory approval, limit the commercial potential or result in significant negative consequences following any potential marketing approval.
If our product candidates are associated with undesirable side effects or have characteristics that are unexpected, we may need to abandon our development or limit development to certain uses or subpopulations in which the undesirable side effects or other characteristics are less prevalent, less severe or more acceptable from a risk-benefit perspective. Any serious adverse or undesirable side effects identified during the development of our product candidates, could interrupt, delay or halt clinical trials and could result in the denial of regulatory approval by the FDA or other regulatory authorities for any or all targeted indications, and in turn prevent us from commercializing our product candidates and generating revenues from their sale. In addition, if any of our product candidates receive regulatory approval and we or others later identify undesirable adverse effects caused by the product, we could face one or more of the following consequences:
| • | regulatory authorities may require the addition of labeling statements, such as a boxed warning or a contraindication, or other safety labeling changes; |
| • | regulatory authorities may require a REMS; |
| • | regulatory authorities may withdraw their approval of the product; |
| • | regulatory authorities may seize the product; |
| • | we may be required to change the way that the product is administered, or conduct additional clinical trials or we may need to recall the product; |
| • | we may be subject to litigation or product liability claims fines, injunctions or criminal penalties; and |
| • | our reputation may suffer. |
| 39 |
If the market opportunities for our future product candidates are smaller than we believe they are, our product revenues may be adversely affected and our business may suffer.
We are currently focusing our research and product development efforts on our MicroStat, MicroPine, MicroProst and MicroTears products. Our understanding of both the number of people who have these needs, as well as the subset of people who have the potential to benefit from our product candidates, are based on estimates in published literature. While we believe these estimates are reasonable, they may prove to be incorrect and new studies may reduce the estimated incidence or prevalence of glaucoma, myopia, mydriasis, dry eyes and the need for pupil dilation. The number of patients in the United States, Asia, the European Union and elsewhere may turn out to be lower than expected or these patients might not be otherwise amenable to our product candidates or may become increasingly difficult to identify and access, all of which would adversely affect our business, financial condition, results of operations and prospects.
The commercial success of our product candidates will depend on the degree of market acceptance among ophthalmologists and optometrists, patients, patient advocacy groups, third-party payors and the medical community.
Even if we receive regulatory approval to market our product candidates, our product candidates might not gain market acceptance upon their commercial introduction, which could prevent us from becoming profitable.
We may have difficulties convincing the medical community, third-party payors and consumers to accept and use any of our product candidates that may be approved for commercialization in the future. Other factors that we believe will affect market acceptance of our product candidates include:
| • | the timing of our receipt of any marketing approvals, the terms of any approvals and the countries in which approvals are obtained; |
| • | safety, efficacy and ease of administration of our product candidates; |
| • | the success of physician education programs; |
| • | the availability of government and third-party payor reimbursement; |
| • | the pricing of our product candidates, particularly as compared to alternative treatment methods and medications; |
| • | the extent to which alternative treatment methods and medications are more readily available as compared to the availability of any product candidates that we may develop in the future; and |
| • | the prevalence and severity of any adverse effects. |
We face significant competition in an environment of rapid technological change and the possibility that our competitors may achieve regulatory approval before us or develop therapies that are more advanced or effective than ours, which may adversely affect our financial condition and our ability to successfully market or commercialize our product candidates.
The specialty pharma market is highly competitive. If we are unable to compete effectively with existing products, new treatment methods and new technologies, we may be unable to commercialize any therapeutic products that we may develop in the future.
The specialty pharma market is subject to rapid technological change and is significantly affected by existing rival products and medical procedures, new product introductions and the market activities of other participants. Pharmaceutical and biotechnology companies, academic institutions, governmental agencies and other public and private research organizations may pursue the research and development of technologies, drugs or other therapeutic products for the treatment of some or of the diseases we are targeting. We may also face competition from products which have already been approved and accepted by the medical community for the treatment of these same indications.
As a result of any of the foregoing factors, our competitors may develop or commercialize products with significant advantages over any therapeutic products that we may develop. If our competitors are more successful in commercializing their products than we are, their success could adversely affect our competitive position and harm our business prospects.
| 40 |
If we fail to establish an effective distribution process our business may be adversely affected.
We have limited resources for the sale, marketing and distribution of drug products. To achieve commercial success for the product candidates for which we obtain marketing approval, we will need to establish and maintain an adequate sales force, and marketing and distribution capabilities, either ourselves or through collaborations or other arrangements with third parties. In addition, failure to secure contracts with wholesalers, retailers, or specialty pharmacies could negatively impact the distribution of our potential products, and failure to coordinate financial systems could negatively impact our ability to accurately report product revenue. If we are unable to effectively establish and manage the distribution process, the commercial launch and sales of our potential products may be delayed or severely compromised and our results of operations may be harmed.
We are exposed to the risk of claims seeking monetary damages by individuals and the risk of investigations by regulatory authorities, which could cause us to incur substantial liabilities and to limit commercialization of any products that we develop.
We are exposed to the risk of claims seeking monetary damages being filed against us for loss or harm suffered by participants of our clinical trials or for loss or harm suffered by users of any drug that may receive approval for commercialization in the future. In either event, the FDA or the regulatory authorities of other countries or regions may commence investigations of the safety and effectiveness of any such clinical trial or commercialized drug, the manufacturing processes and facilities or marketing programs utilized in respect of any such clinical trial or drug. Such investigations may result in mandatory or voluntary recalls of any commercialized drug or other significant enforcement action such as limiting the indications for which any such drug may be used, or suspension or withdrawal of approval for any such drug. Investigations by the FDA or any other regulatory authority in other countries or regions also could delay or prevent the completion of any of our other clinical development programs.
Product liability lawsuits against us could divert our resources and could cause us to incur substantial liabilities and to limit commercialization of any products that we develop.
We face an inherent risk of product liability exposure related to the use of our product candidates that we develop in human clinical trials. We face an even greater risk if we commercially sell any products that we develop. If we cannot successfully defend ourselves against claims that our product candidates or products caused injuries, we will incur substantial liabilities. Regardless of merit or eventual outcome, liability claims may result in:
| • | decreased demand for any product candidates or products that we develop; |
| • | injury to our reputation and significant negative media attention; |
| • | withdrawal of clinical trial participants; |
| • | significant costs to defend the related litigation; |
| • | substantial monetary awards to clinical trial participants or patients; |
| • | loss of revenue; |
| • | reduced time and attention of our management to pursue our business strategy; and |
| • | the inability to commercialize any products that we develop. |
Our insurance policies might not fully cover the risk of loss associated with our operations. We may need to increase our insurance coverage as we expand our clinical trials. We will need to further increase our insurance coverage if we commence commercialization of any of the product candidates for which we obtain marketing approval. Insurance coverage is increasingly expensive. We might not be able to maintain insurance coverage at a reasonable cost or in an amount adequate to satisfy any liability that may arise. In the event that we are required to pay damages for any such claim, we may be forced to seek bankruptcy or to liquidate because our asset and revenue base may be insufficient to satisfy the payment of damages and any insurance that we have obtained or may obtain for product or clinical trial liability might not provide sufficient coverage against potential liabilities.
| 41 |
RISKS RELATED TO REGULATORY APPROVAL OF OUR PRODUCT CANDIDATES AND
OTHER LEGAL COMPLIANCE MATTERS
If we are not able to obtain, or if there are delays in obtaining, required regulatory approvals, we might not be able to commercialize our product candidates, and our ability to generate revenue would be materially impaired.
Any product candidates we may develop will be subject to extensive and burdensome governmental regulations relating to development, clinical trials, manufacturing and commercialization. Rigorous preclinical testing and clinical trials and extensive regulatory approval processes are required to be successfully completed in the United States and in many foreign jurisdictions such as the European Union and Asia before a new product may be offered and sold in any of these countries or regions. Satisfaction of these and other regulatory requirements is costly, time-consuming, uncertain and subject to unanticipated delays.
In the United States, the product candidates that we intend to develop and market are regulated by the FDA under its drug development and review process. The time required to obtain FDA and other approvals for our product candidates is unpredictable. Before such product candidates can be marketed, our IND must go into effect permitting the conduct of clinical trials, then we must successfully complete human testing and the FDA must approve our new drug application, or NDA. Even after successful completion of clinical testing, there is a risk that the FDA may request further information from us, disagree with our findings or otherwise undertake a lengthy review of our submission.
It is possible that FDA will not approve any application that we may submit. It is possible that none of the product candidates that we may develop will obtain the appropriate regulatory approvals necessary for us to commence the offer and sale of such products. Any delay or failure in obtaining required approvals could have a material adverse effect on our ability to generate revenues from a particular prospective product.
Failure to obtain marketing approval in foreign jurisdictions would prevent our product candidates from being marketed in such jurisdictions.
Because we intend to market any therapy that we may develop in jurisdictions in addition to the United States, such as the European Union and Asia, we will likely incur the same costs or more in satisfying foreign regulatory requirements governing the conduct of clinical trials, manufacturing and marketing and commercialization of our product candidates. Approval by the FDA by itself does not assure approval by regulatory authorities outside the United States and approval by one regulatory authority outside the United States does not ensure approval by regulatory authorities in other countries or jurisdictions or by the FDA. Each of these foreign regulatory approval processes includes all of the risks associated with the FDA approval process, as well as risks attributable to having to satisfy local regulations within each of these foreign jurisdictions. In addition, any failure or delay in obtaining regulatory approval in one country may have a negative effect on the regulatory process in other countries. Our inability to obtain regulatory approval outside the United States may adversely compromise our business prospects.
The terms of approvals, ongoing regulations and post-marketing restrictions for our products may limit how we manufacture and market our products, which could materially impair our ability to generate revenue.
Once marketing approval has been granted, an approved product and its manufacturer and marketer are subject to ongoing review and extensive regulation. The FDA closely regulates the post-approval marketing and promotion of drugs to ensure drugs are marketed only for the approved indications and in accordance with the provisions of the approved labeling and regulatory requirements. The FDA imposes stringent restrictions on manufacturers’ communications regarding off-label use and if we do not restrict the marketing of our products only to their approved indications, we may be subject to enforcement action for off-label marketing. We, and any potential collaborators we may have in the future, must therefore comply with requirements concerning advertising and promotion for any of our products for which we or our collaborators obtain marketing approval. Thus, if any of our product candidates receive marketing approval, the accompanying label may limit the approved use of our product, which could limit sales of the product.
In addition, manufacturers of approved products and those manufacturers’ facilities are required to comply with extensive FDA requirements, including ensuring that quality control and manufacturing procedures conform to cGMP requirements applicable to drug manufacturers, which include requirements relating to quality control and quality assurance as well as the corresponding maintenance of records and documentation and reporting requirements. We, any contract manufacturers we may engage in the future, our future collaborators and their contract manufacturers will also be subject to other regulatory requirements, including submissions of safety and other post-marketing information and reports, registration and listing requirements, requirements regarding the distribution of samples to clinicians, recordkeeping, and costly post-marketing studies or clinical trials and surveillance to monitor the safety or efficacy of the product such as the requirement to implement a risk evaluation and mitigation strategy. Our third party manufacturers’ inability to satisfy the chemistry, manufacturing and control concerns of regulatory bodies such as the FDA would either prevent us from completing clinical trials or prevent us from obtaining regulatory approval for marketing, either of which would significantly compromise our business prospects.
| 42 |
We may be subject to substantial penalties if we fail to comply with regulatory requirements or if we experience unanticipated problems with our products.
Violations of the FDCA relating to the promotion or manufacturing of drug products may lead to investigations by the FDA, Department of Justice and state Attorneys General alleging violations of federal and state healthcare fraud and abuse laws, as well as state consumer protection laws. In addition, later discovery of previously unknown adverse events or other problems with our products, manufacturers or manufacturing processes, or failure to comply with regulatory requirements, may yield various results, including:
| • | restrictions on such products, manufacturers or manufacturing processes; |
| • | restrictions on the labeling or marketing of a product; |
| • | restrictions on product distribution or use; |
| • | requirements to conduct post-marketing studies or clinical trials; |
| • | warning letters; |
| • | withdrawal of the products from the market; |
| • | refusal to approve pending applications or supplements to approved applications that we submit; |
| • | recall of products; |
| • | fines, restitution or disgorgement of profits or revenues; |
| • | suspension or withdrawal of marketing approvals; |
| • | refusal to permit the import or export of our products; |
| • | product seizure or detention; or |
| • | injunctions or the imposition of civil or criminal penalties. |
We are subject to federal and state healthcare fraud and abuse laws, false claims laws and health information privacy and security laws. If we are unable to comply, or have not fully complied, with such laws, we could face substantial penalties.
We are subject to U.S. federal and state and also foreign healthcare fraud and abuse laws and regulations. Any finding of our failure to comply with such laws and regulations could have a material adverse effect on our business.
Our operations may be directly or indirectly affected by various broad U.S. federal and state healthcare fraud and abuse laws. These include the U.S. federal anti-kickback statute, which prohibits any person from knowingly and willfully offering, paying, soliciting or receiving remuneration, directly or indirectly, in return for or to induce the referring, ordering, leasing, purchasing or arranging for or recommending the ordering, purchasing or leasing of an item or service, for which payment may be made under U.S. federal healthcare programs, such as the Medicare and Medicaid programs. The U.S. federal anti-kickback statute is very broad in scope, and many of its provisions have not been uniformly or definitively interpreted by existing case law or regulations. In addition, many states have adopted laws similar to the U.S. federal anti-kickback statute, and some of these laws are broader than that statute in that their prohibitions are not limited to items or services paid for by a U.S. federal healthcare program but, instead, apply regardless of the source of payment. Violations of these laws could result in fines, imprisonment or exclusion from government-sponsored programs.
Additionally, our relationships with customers and third-party payors will be subject to applicable anti-kickback, fraud and abuse and other healthcare laws and regulations, which may expose us to criminal sanctions, civil penalties, program exclusion, contractual damages, reputational harm and diminished profits and future earnings.
Healthcare providers, physicians and third-party payors play a primary role in the recommendation of any product candidates for which we obtain marketing approval. Our future arrangements with third-party payors and customers may expose us to broadly applicable fraud and abuse and other healthcare laws and regulations that may constrain the business or financial arrangements and relationships through which we plan to market, sell and distribute products for which we obtain marketing approval.
| 43 |
Some state laws require pharmaceutical companies to comply with the pharmaceutical industry’s voluntary compliance guidelines and the relevant compliance guidance promulgated by the federal government and federal and state laws may require drug manufacturers to report information related to payments and other transfers of value to physicians and other healthcare providers or marketing expenditures. State and foreign laws also govern the privacy and security of health information in some circumstances, many of which differ from each other in significant ways and often are not preempted by the Health Insurance Portability and Accountability Act, thus complicating compliance efforts.
Efforts to ensure that our business arrangements with third parties comply with applicable healthcare laws and regulations will involve substantial costs. It is possible that governmental authorities will conclude that our business practices might not comply with current or future statutes, regulations or case law involving applicable fraud and abuse or other healthcare laws and regulations. If our operations are found to be in violation of any of these laws or any other governmental regulations that may apply to us, we may be subject to significant civil, criminal and administrative penalties, damages, fines, exclusion from government funded healthcare programs, such as Medicare and Medicaid, and the curtailment or restructuring of our operations. If any of the physicians or other providers or entities with whom we expect to do business are found to be not in compliance with applicable laws, they may be subject to criminal, civil or administrative sanctions, including exclusions from government funded healthcare programs.
Recently enacted and future legislation may affect our ability to commercialize our products and the prices we obtain for any products that are approved in the United States or foreign jurisdictions, which would harm our business.
In the United States and some foreign jurisdictions, there have been a number of legislative and regulatory changes and proposed changes regarding the healthcare system that could affect our ability to profitably sell or commercialize our product candidates for which we obtain marketing approval. The pharmaceutical industry has been a particular focus of these efforts and have been significantly affected by legislative initiatives. Current laws, as well as other healthcare reform measures that may be adopted in the future, may result in more rigorous coverage criteria and in additional downward pressure on the price that we receive for any FDA approved product.
The United States Medicare Prescription Drug, Improvement, and Modernization Act of 2003, or the Medicare Modernization Act, changed the way Medicare covers and pays for pharmaceutical products. The legislation expanded Medicare coverage for drug purchases by the elderly and introduced a new reimbursement methodology based on average sales prices for clinician administered drugs. In addition, this legislation provided authority for limiting the number of drugs that will be covered in any therapeutic class. Cost reduction initiatives and other provisions of this legislation could decrease the coverage and price that we receive for any approved products. While the Medicare Modernization Act applies only to drug benefits for Medicare beneficiaries, private payors often follow Medicare coverage policy and payment limitations in setting their own reimbursement rates. Therefore, any reduction in reimbursement that results from the Medicare Modernization Act may result in a similar reduction in payments from private payors.
As is discussed above, several provisions of the ACA are important to our business, including, without limitation, our ability to commercialize and the prices we may obtain for any of our product candidates and that are approved for sale, are the following:
| • | an annual, nondeductible fee on any entity that manufactures or imports specified branded prescription drugs and biologic products; |
| • | an increase in the statutory minimum rebates a manufacturer must pay under the Medicaid Drug Rebate Program; |
| • | a new Medicare Part D coverage gap discount program, in which participating manufacturers must agree to offer 50% point-of-sale discounts off negotiated drug prices during the coverage gap period as a condition for the manufacturer’s outpatient drugs to be covered under Medicare Part D; |
| • | expansion of healthcare fraud and abuse laws, including the federal False Claims Act and the federal Anti-Kickback Statute, and the addition of new government investigative powers, and enhanced penalties for noncompliance; |
| • | extension of manufacturers’ Medicaid rebate liability; |
| • | expansion of eligibility criteria for Medicaid programs; and |
| • | expansion of the entities eligible for discounts under the Public Health Service pharmaceutical pricing program. |
| 44 |
In addition, other legislative changes have been proposed and adopted since the ACA was enacted. In August 2011, the Budget Control Act of 2011, among other things, created measures for spending reductions by Congress. A Joint Select Committee on Deficit Reduction, tasked with recommending a targeted deficit reduction of at least $1.2 trillion for the years 2013 through 2021, was unable to reach required goals, thereby triggering the legislation’s automatic reduction to several government programs. These changes included aggregate reductions to Medicare payments to providers of up to 2% per fiscal year, which went into effect in April 2013 and will remain in effect through 2024 unless additional Congressional action is taken. The American Taxpayer Relief Act of 2012, among other things, reduced Medicare payments to several providers and increased the statute of limitations period for the government to recover overpayments to providers from three to five years. These new laws may result in additional reductions in Medicare and other healthcare funding and otherwise affect the prices we may obtain for any of our product candidates for which we may obtain regulatory approval or the frequency with which any such product candidate is prescribed or used.
Continued efforts to repeal or replace the ACA, if enacted, and other efforts to reform the healthcare marketplace and delivery system, could have an adverse effect on anticipated revenue from product candidates that we may successfully develop and for which we may obtain marketing approval and may affect our overall financial condition and ability to develop or commercialize product candidates. We expect that future reform efforts will continue to prioritize reductions in Medicare and other healthcare spending, more rigorous coverage criteria, new payment methodologies and additional downward pressure on the price that we receive for any approved product and/or the level of reimbursement physicians receive for administering any approved product we might bring to market. Reductions in reimbursement levels may negatively impact the prices we receive or the frequency with which any products we may develop are prescribed or administered. Any reduction in reimbursement from Medicare or other government programs may result in a similar reduction in payments from private payors.
The costs of prescription pharmaceuticals has also been the subject of considerable discussion in the United States, and members of Congress and the Administration have stated that they will address such costs through new legislative and administrative measures. To date, there have been several laws passed under the new administration aimed at curbing the cost of drugs, and additional legislation has been proposed on this subject.
The pricing of prescription pharmaceuticals is also subject to governmental controls outside the United States, which vary widely from country to country. As a result, we might obtain regulatory approval for a product in a particular country, but then be subjected to pricing regulations in that country that delay the commercial launch of the product and negatively impact the revenues able to be generated from the sale of the product in that country. In these countries, pricing negotiations with governmental authorities can take considerable time after the receipt of marketing approval for a product. To obtain reimbursement or pricing approval in some countries, we may be required to conduct a clinical trial that compares the cost-effectiveness of our product candidates to other available therapies. If reimbursement of our products is unavailable or limited in scope or amount, or if pricing is set at unsatisfactory levels, our ability to generate revenues and become profitable could be impaired.
We are subject to anti-corruption laws, as well as export control laws, customs laws, sanctions laws and other laws governing our operations. If we fail to comply with these laws, we could be subject to civil or criminal penalties, other remedial measures and legal expenses, be precluded from developing manufacturing and selling products outside the United States or be required to develop and implement costly compliance programs, which could adversely affect our business, results of operations and financial condition.
Our operations are subject to anti-corruption laws, including the United Kingdom Bribery Act 2010, or Bribery Act, the United States Foreign Corrupt Practices Act, or FCPA, and other anti-corruption laws that apply in countries where we do business and may do business in the future. The Bribery Act, FCPA and these other laws generally prohibit us, our officers, and our employees and intermediaries from bribing, being bribed or making other prohibited payments to government officials or other persons to obtain or retain business or gain some other business advantage. Compliance with the FCPA, in particular, is expensive and difficult, particularly in countries in which corruption is a recognized problem. In addition, the FCPA presents particular challenges in the pharmaceutical industry, because, in many countries, hospitals are operated by the government, and doctors and other hospital employees are considered foreign officials. Certain payments to hospitals in connection with clinical trials and other work have been deemed to be improper payments to government officials and have led to FCPA enforcement actions.
We may in the future operate in jurisdictions that pose a high risk of potential Bribery Act or FCPA violations, and we may participate in collaborations and relationships with third parties whose actions could potentially subject us to liability under the Bribery Act, FCPA or local anti-corruption laws. In addition, we cannot predict the nature, scope or effect of future regulatory requirements to which our international operations might be subject or the manner in which existing laws might be administered or interpreted. If we expand our operations outside of the United States, we will need to dedicate additional resources to comply with numerous laws and regulations in each jurisdiction in which we plan to operate.
| 45 |
We are also subject to other laws and regulations governing our international operations, including regulations administered by the governments of the United Kingdom and the United States, and authorities in the European Union, including applicable export control regulations, economic sanctions on countries and persons, customs requirements and currency exchange regulations, collectively referred to as the Trade Control laws. In addition, various laws, regulations and executive orders also restrict the use and dissemination outside of the United States, or the sharing with certain non-United States nationals, of information classified for national security purposes, as well as certain products and technical data relating to those products. If we expand our presence outside of the United States, it will require us to dedicate additional resources to comply with these laws, and these laws may preclude us from developing, manufacturing, or selling certain products and product candidates outside of the United States, which could limit our growth potential and increase our development costs.
We might not be completely effective in ensuring our compliance with all applicable anti-corruption laws, including the Bribery Act, the FCPA or other legal requirements, including Trade Control laws. If we are not in compliance with the Bribery Act, the FCPA and other anti-corruption laws or Trade Control laws, we may be subject to criminal and civil penalties, disgorgement and other sanctions and remedial measures, and legal expenses, which could have an adverse impact on our business, financial condition, results of operations and liquidity. The SEC also may suspend or bar issuers from trading securities on United States exchanges for violations of the FCPA’s accounting provisions. Any investigation of any potential violations of the Bribery Act, the FCPA, other anti-corruption laws or Trade Control laws by U.K., U.S. or other authorities could also have an adverse impact on our reputation, our business, results of operations and financial condition.
RISKS RELATED TO OUR BUSINESS OPERATIONS AND MANAGING GROWTH
We are highly dependent on the services of our senior management team, including our Chief Executive Officer and Chief Medical Officer, Dr. Ianchulev, and if we are not able to retain these members of our management team or recruit and retain additional management, clinical and scientific personnel, our business will be harmed.
We are highly dependent on our senior management team, including our Chief Executive Officer and Chief Medical Officer, Dr. Ianchulev. The employment agreements we have with our executive officers do not prevent such persons from terminating their employment with us at any time. The loss of the services of any of these persons could impede the achievement of our research, development and commercialization objectives.
In addition, we are dependent on our continued ability to attract, retain and motivate highly qualified additional management, clinical and scientific personnel. If we are not able to retain our management and to attract, on acceptable terms, additional qualified personnel necessary for the continued development of our business, we might not be able to sustain our operations or grow.
We might not be able to attract or retain qualified personnel in the future due to the intense competition for qualified personnel among biotechnology, pharmaceutical and other businesses. Many of the other pharmaceutical companies that we compete against for qualified personnel and consultants have greater financial and other resources, different risk profiles and a longer history in the industry than we do. They also may provide more diverse opportunities and better chances for career advancement. Some of these characteristics may be more appealing to high-quality candidates and consultants than what we have to offer. If we are unable to continue to attract, retain and motivate high-quality personnel and consultants to accomplish our business objectives, the rate and success at which we can discover and develop drug candidates and our business will be limited and we may experience constraints on our development objectives.
Our future performance will also depend, in part, on our ability to successfully integrate newly hired executive officers into our management team and our ability to develop an effective working relationship among senior management. Our failure to integrate these individuals and create effective working relationships among.
We have limited corporate infrastructure, and may experience difficulties in managing growth.
As of March 27, 2019, we had only 22 full time employees and we rely on third-party contractors for the provision of professional and other services. As our development and commercialization plans and strategies develop, we expect to need additional managerial, operational, sales, marketing, financial, legal and other resources. Our management may need to divert a disproportionate amount of its attention away from our day-to-day operations and devote a substantial amount of time to managing these growth activities. We might not be able to effectively manage the expansion of our operations, which may result in weaknesses in our infrastructure, operational inefficiencies, loss of business opportunities, loss of employees and reduced productivity among remaining employees. Our expected growth could require significant capital expenditures and may divert financial resources from other projects, such as the development of our current and potential future drug candidates. If our management is unable to effectively manage our growth, our expenses may increase more than expected, our ability to generate and grow revenue could be reduced and we might not be able to implement our business strategy. Our future financial performance, our ability to commercialize drug candidates, develop a scalable infrastructure and compete effectively will depend, in part, on our ability to effectively manage any future growth.
| 46 |
Our employees, third-party clinical investigators, consultants, licensors and strategic partners may engage in misconduct or other improper activities, including non-compliance with regulatory standards and requirements and insider trading.
We are exposed to the risk of fraud or other misconduct by our employees, third-party clinical investigators, consultants, licensors and strategic partners. Misconduct by these parties could include intentional failures to comply with FDA regulations or the regulations applicable in other jurisdictions, provide accurate information to the FDA and other regulatory authorities, comply with healthcare fraud and abuse laws and regulations in the United States and abroad, report financial information or data accurately or disclose unauthorized activities to us. In particular, sales, marketing and business arrangements in the healthcare industry are subject to extensive laws and regulations intended to prevent fraud, misconduct, kickbacks, self-dealing and other abusive practices. These laws and regulations restrict or prohibit a wide range of pricing, discounting, marketing and promotion, sales commission, customer incentive programs and other business arrangements. Such misconduct also could involve the improper use of information obtained in the course of clinical trials or interactions with the FDA or other regulatory authorities, which could result in regulatory sanctions and cause serious harm to our reputation. It is not always possible to identify and deter employee misconduct, and the precautions we take to detect and prevent this activity might not be effective in controlling unknown or unmanaged risks or losses or in protecting us from government investigations or other actions or lawsuits stemming from a failure to comply with these laws or regulations. If any such actions are instituted against us and we are not successful in defending ourselves or asserting our rights, those actions could have a negative impact on our business, financial condition, results of operations and prospects, including the imposition of significant fines or other sanctions.
We rely upon information technology and any failure, inadequacy, interruption or security lapse of that technology, including any cyber security incidents, could harm our ability to operate our business effectively.
Our business operations could suffer in the event of system failure. Despite the implementation of security measures, our internal computer systems and those of our contract research organizations, and other contractors and consultants are vulnerable to damage from computer viruses, unauthorized access, natural disasters, terrorism, war and telecommunication and electrical failures. If such an event were to occur and cause interruptions in our operations, it could result in a material disruption of our drug development programs. For example, the loss of clinical trial data from completed or ongoing or planned clinical trials could result in delays in our regulatory approval efforts and significantly increase our costs to recover or reproduce the data. To the extent that any disruption or security breach were to result in a loss of or damage to our data or applications, or inappropriate disclosure of confidential or proprietary information, we could incur liability and further development of our product candidates could be delayed.
RISKS RELATED TO OUR DEPENDENCE ON THIRD PARTIES
We have limited clinical trial experience. We may rely upon third parties in conducting our clinical trials, and those third parties might not perform satisfactorily, including failing to meet deadlines for the completion of such clinical trials.
We have limited experience in conducting and managing the clinical trials necessary to obtain regulatory approvals for our product candidates. We may rely on third parties for clinical development activities. Any reliance on third parties would reduce our control over these activities but would not relieve us of our responsibilities. For example, we would remain responsible for ensuring that each of our clinical trials is conducted in accordance with the general investigational plan and protocols for the clinical trial. Moreover, the FDA requires us to comply with standards, commonly referred to as good clinical practices for conducting, recording and reporting the results of clinical trials to assure that data and reported results are credible and accurate and that the rights, integrity and confidentiality of clinical trial participants are protected. We are also required to register ongoing clinical trials and post the results of completed clinical trials on a government-sponsored database, ClinicalTrials.gov, within specified timeframes. Failure to do so can result in fines, adverse publicity and civil and criminal sanctions. If we engage third parties and they do not successfully carry out their contractual duties, meet expected deadlines or conduct our clinical trials in accordance with regulatory requirements or our stated protocols, we might not be able to obtain, or may be delayed in obtaining, marketing approvals for our product candidates and will not be able to, or may be delayed in our efforts to, successfully commercialize our product candidates. If these third parties do not successfully carry out their contractual duties or meet expected deadlines, we may be required to replace them, which may delay the affected clinical trial.
We contract with third parties for the manufacture of our product candidates for clinical trials and expect to continue to do so in connection with the potential commercialization of our product candidates and for clinical trials and commercialization of any other product candidates that we develop or may develop. This reliance on third parties increases the risk that we will not have sufficient quantities of our product candidates or such quantities at an acceptable cost, which could delay, prevent or impair our development or commercialization efforts.
We do not currently operate manufacturing facilities for clinical or commercial production of our product candidates. We rely on a number of third parties for the supply of parts, formulations, active pharmaceutical ingredients, and other materials required for our manufacturing, research and development activities. If we were unable to reach agreements with these third parties, or if we were unable to maintain contractual relationships with these third parties, our research and development activities would be delayed.
| 47 |
We rely on third parties to provide the materials required for our research and development activities. Obtaining these materials requires various approvals as well as reaching a purchase or commercial agreement on acceptable terms with the provider of the materials. We might not be able to reach agreements with a sufficient number of suppliers or do so on acceptable terms. If we are unable to reach acceptable agreements with a sufficient number of suppliers of materials, our research and development activities will be delayed and our ability to implement our business plan will be compromised.
Our manufacturing process is a complicated and expensive and it requires months of advance planning. We rely on a limited number of manufacturers for our supply. If we were unable to acquire the necessary amount of deliverables to complete our clinical trials, our progress could be delayed substantially.
Additional potential risks related to reliance on third-party manufacturers include:
| • | manufacturing delays if our third-party manufacturers give greater priority to the supply of other products over our product candidates or otherwise do not satisfactorily perform according to the terms of their agreements with us; |
| • | delays in obtaining regulatory approval for our product candidates, if our third-party manufacturers fail to satisfy or comply with regulatory requirements; |
| • | the possible termination or nonrenewal of the agreement by the third party at a time that is costly or inconvenient for us; |
| • | the possible breach of the manufacturing agreement by the third party; |
| • | product loss due to contamination, equipment failure or improper installation or operation of equipment or operator error; |
| • | the failure of the third-party manufacturer to comply with applicable regulatory requirements; and |
| • | the possible misappropriation of our proprietary information, including our trade secrets and know-how. |
If we, our service providers or our third-party manufacturers fail to comply with environmental, health and safety laws and regulations, we could become subject to fines or penalties or incur costs that could harm our business.
If we, our service providers, or any third-party manufacturers fail to comply with laws regulating the protection of the environment and health and human safety, we could be subject to enforcement actions and our business prospects could be adversely affected.
Our research and development activities, and the research and development activities of our service providers and third-party manufacturers, may involve the use of hazardous materials and chemicals or the maintenance of various flammable and toxic chemicals. Failure to adequately handle and dispose of these materials could lead to liabilities for resulting damages, which could be substantial. We also may be subject to numerous environmental, health and workplace safety laws and regulations, including those governing laboratory procedures, exposure to blood-home pathogens and the handling of bio-hazardous materials.
If we, our service providers, or any third-party manufacturers fail to comply with applicable federal, state or foreign laws or regulations, we could be subject to enforcement actions, which could adversely affect our ability to develop, market and sell our product candidates successfully and could harm our reputation and lead to reduced acceptance of our product candidates. These enforcement actions may include:
| • | restrictions on, or prohibitions against, marketing our product candidates; |
| • | restrictions on importation of our product candidates; |
| • | suspension of review or refusal to approve new or pending applications; |
| • | suspension or withdrawal of product approvals; |
| • | product seizures; |
| • | injunctions; and |
| • | civil and criminal penalties and fines. |
| 48 |
RISKS RELATED TO OUR INTELLECTUAL PROPERTY AND POTENTIAL LITIGATION
Our success depends on our ability to protect our intellectual property and proprietary technology.
Our success depends in large part on our ability to obtain and maintain patent, trade secret and other intellectual property protection in the United States and other countries with respect to our proprietary product candidates. If we do not adequately protect our intellectual property rights, competitors may be able to erode, negate or preempt any competitive advantage we may have, which could harm our business and ability to achieve profitability. To protect our proprietary position, we file patent applications in the United States and abroad related to our novel product candidates that are important to our business. The patent application and approval process is expensive and time-consuming and we might not be able to file and prosecute all necessary or desirable patent applications at a reasonable cost or in a timely manner.
If the scope of the patent protection we obtain is not sufficiently broad, we might not be able to prevent others from developing and commercializing technology and products similar or identical to ours. The degree of patent protection we require to successfully compete in the marketplace may be unavailable or severely limited in some cases and might not adequately protect our rights or permit us to gain or keep any competitive advantage. Although we enter into non-disclosure and confidentiality agreements with parties who have access to confidential or patentable aspects of our research and development output, such as our employees, contractors and other third parties, any of these parties may breach the agreements and disclose such output before a patent application is filed, thereby jeopardizing our ability to seek patent protection. In addition, publications of discoveries in the scientific literature often lag behind the actual discoveries, and patent applications in the United States and other jurisdictions are typically not published until 18 months after filing, or in some cases not at all. Therefore, we cannot be certain that we were the first to make the inventions claimed in our patents or pending patent applications, or that we were the first to file for patent protection of such inventions.
The patent position of biotechnology and pharmaceutical companies generally is highly uncertain, involves complex legal and factual questions, and has been the subject of much litigation in recent years. As a result, the issuance, scope, validity, enforceability, and commercial value of our patent rights may be uncertain. Our pending and future patent applications might not result in patents being issued which protect our technology or product candidates or which effectively prevent others from commercializing competitive technologies and product candidates. In addition, the coverage claimed in a patent application can be significantly reduced before the patent is issued, and its scope can be reinterpreted after issuance. Even if our patent applications issue as patents, they might not issue in a form that will provide us with any meaningful protection, prevent competitors or other third parties from competing with us, or otherwise provide us with any competitive advantage. In addition, changes in either the patent laws or interpretation of the patent laws in the United States and other countries may diminish the value of our patents or narrow the scope of our patent protection. In addition, the laws of foreign countries might not protect our rights to the same extent or in the same manner as the laws of the United States. For example, patent laws in various jurisdictions, including significant commercial markets such as Europe, restrict the patentability of methods of treatment of the human body more than United States law does.
Some of our future patents and patent applications may be co-owned with third parties. If we are unable to obtain an exclusive license to any such third-party co-owners’ interest in such patents or patent applications, such co-owners may be able to license their rights to other third parties, including our competitors, and our competitors could market competing products and technology. In addition, we would need the cooperation of any such co-owners of our patents in order to enforce such patents against third parties, and such cooperation might not be provided to us. Furthermore, we, or any future partners, collaborators, or licensees, may fail to identify patentable aspects of inventions made in the course of development and commercialization activities before it is too late to obtain patent protection on them. Therefore, we may miss potential opportunities to strengthen our patent position. Any of the foregoing could have a material adverse effect on our business, financial condition, results of operations, and prospects.
Our patents covering our proprietary technology maybe subject to challenge, narrowing, circumvention and invalidation by third parties.
Any of our patents may be challenged, narrowed, circumvented, or invalidated by third parties. The issuance of a patent is not conclusive as to its inventorship, scope, validity, or enforceability, and our patents may be challenged in the courts or patent offices in the United States and abroad. We may be subject to a third party preissuance submission of prior art to the USPTO or become involved in opposition, derivation, revocation, reexamination, post-grant and inter partes review, or interference proceedings challenging our patent rights or the patent rights of others. An adverse determination in any such submission, proceeding or litigation could reduce the scope of, or invalidate, our patent rights, allow third parties to commercialize our technology or products and compete directly with us, without payment to us, or result in our inability to manufacture or commercialize products without infringing third-party patent rights. Moreover, we may have to participate in interference proceedings declared by the USPTO to determine priority of invention or in post-grant challenge proceedings, such as oppositions in a foreign patent office, that challenge priority of invention or other features of patentability. Such challenges may result in loss of patent rights, loss of exclusivity, or in patent claims being narrowed, invalidated, or held unenforceable, which could limit our ability to stop others from using or commercializing similar or identical technology and products, or limit the duration of the patent protection of our technology and product candidates. Such proceedings also may result in substantial cost and require significant time from our scientists and management, even if the eventual outcome is favorable to us.
| 49 |
In addition, our competitors and other third parties may be able to circumvent our patents by developing similar or alternative technologies or products in a non-infringing manner. For example, a third party may develop a competitive therapy that provides benefits similar to our product candidates but that uses a technology that falls outside the scope of our patent protection. Our competitors may also seek approval to market generic versions of any approved products and in connection with seeking such approval may claim that our patents are invalid, unenforceable or not infringed. In these circumstances, we may need to defend or assert our patents, or both, including by filing lawsuits alleging patent infringement. In any of these types of proceedings, a court or other agency with jurisdiction may find our patents invalid or unenforceable, or that our competitors are competing in a non-infringing manner. Thus, even if we have valid and enforceable patents, these patents still might not provide protection against competing products or processes sufficient to achieve our business objectives. If the patent protection provided by the patents and patent applications we hold or pursue with respect to our product candidates is not sufficiently broad to impede such competition, our ability to successfully commercialize our product candidates could be negatively affected, which could have a material adverse effect on our business, financial condition, results of operations, and prospects.
We cannot be sure that we were the first to make the technologies claimed in our patents or patent applications or that we were the first to file for patent protection.
Assuming the other requirements for patentability are met, currently, the first to file a patent application is generally entitled to the patent. However, prior to March 16, 2013, in the United States, the first to invent was entitled to the patent. Publications of discoveries in the scientific literature often lag behind the actual discoveries, and patent applications in the United States and other jurisdictions are not published until 18 months after filing, or in some cases not at all. Therefore, we cannot be certain that we were the first to make the inventions claimed in our patents or pending patent applications, or that we were the first to file for patent protection of such inventions. Similarly, we cannot be certain that parties from whom we may license or purchase patent rights were the first to make relevant claimed inventions, or were the first to file for patent protection for them. If third parties have filed patent applications on inventions claimed in our patents or applications on or before March 15, 2013, an interference proceeding in the United States can be initiated by such third parties to determine the first to invent any of the subject matter covered by the patent claims of our applications. If third parties have filed such applications after March 15, 2013, a derivation proceeding in the United States can be initiated by such third parties to determine whether our invention was derived from theirs.
The patent application process is subject to numerous risks and there can be no assurance that we will be successful in obtaining patents for which we have applied.
Pending patent applications cannot be enforced against third parties practicing the technology claimed in such applications unless and until a patent issues from such applications. The patent application process is subject to numerous risks and uncertainties, and there can be no assurance that we or any of our future development partners will be successful in protecting our product candidates by obtaining and defending patents. These risks and uncertainties include the following:
| • | the USPTO and various foreign governmental patent agencies require compliance with a number of procedural, documentary, fee payment and other provisions during the patent process. There are situations in which noncompliance can result in abandonment or lapse of a patent or patent application, resulting in partial or complete loss of patent rights in the relevant jurisdiction. In such an event, competitors might be able to enter the market earlier than would otherwise have been the case; |
| • | the coverage claimed in a patent application can be significantly reduced before the patent is issued, and its scope can be reinterpreted after issuance; |
| • | patent applications might not result in any patents being issued; |
| • | patents that may be issued or in-licensed may be challenged, invalidated, modified, revoked, circumvented, narrowed, found to be unenforceable or otherwise might not provide any competitive advantage; |
| • | our competitors, many of whom have substantially greater resources and many of whom have made significant investments in competing technologies, may seek or may have already obtained patents that will limit, interfere with or eliminate our ability to make, use, and sell our potential product candidates; |
| • | there may be significant pressure on the U.S. government and international governmental bodies to limit the scope of patent protection both inside and outside the United States for disease treatments that prove successful, as a matter of public policy regarding worldwide health concerns; and |
| 50 |
| • | countries other than the United States may have patent laws less favorable to patentees than those upheld by United States courts, allowing foreign competitors a better opportunity to create, develop and market competing product candidates. |
Any of the foregoing events could have a material adverse effect on our business, financial condition, results of operations, and prospects.
It is difficult and costly to protect our intellectual property and our proprietary technologies, and we might not be able to ensure their protection.
Our commercial success will depend in part on obtaining and maintaining patent protection and trade secret protection for the composition, use and structure of our products and product candidates, the methods used to manufacture them, the related therapeutic targets and associated methods of treatment as well as on successfully defending these patents against potential third-party challenges. Our ability to protect our products and product candidates from unauthorized making, using, selling, offering to sell or importing by third parties is dependent on the extent to which we have rights under valid and enforceable patents that cover these activities.
The ultimate determination by the USPTO or by a court or other trier of fact in the United States, or corresponding foreign national patent offices or courts, on whether a claim meets all requirements of patentability cannot be assured. Although we have conducted searches for third-party publications, patents and other information that may affect the patentability of claims in our various patent applications and patents, we cannot be certain that all relevant information has been identified. Accordingly, we cannot predict the breadth of claims that may be allowed or enforced in our patents or patent applications, in our licensed patents or patent applications or in third-party patents.
We cannot provide assurances that any of our patent applications will be found to be patentable, including over our own prior art patents, or will issue as patents. Neither can we make assurances as to the scope of any claims that may issue from our pending and future patent applications nor to the outcome of any proceedings by any potential third parties that could challenge the patentability, validity or enforceability of our patents and patent applications in the United States or foreign jurisdictions. Any such challenge, if successful, could limit patent protection for our products and product candidates and/or materially harm our business.
The degree of future protection for our proprietary rights is uncertain because legal means afford only limited protection and might not adequately protect our rights or permit us to gain or keep our competitive advantage. For example:
| • | we might not be able to generate sufficient data to support full patent applications that protect the entire breadth of developments in one or more of our programs; |
| • | it is possible that one or more of our pending patent applications will not become an issued patent or, if issued, that the patent(s) will be insufficient to protect our technology, provide us with a basis for commercially viable products or provide us with any competitive advantages; |
| • | if our pending applications issue as patents, they may be challenged by third parties as not infringed, invalid or unenforceable under United States or foreign laws; or |
| • | if issued, the patents under which we hold rights might not be valid or enforceable. |
In addition, to the extent that we are unable to obtain and maintain patent protection for one of our products or product candidates or in the event that such patent protection expires, it may no longer be cost-effective to extend our portfolio by pursuing additional development of a product or product candidate for follow-on indications. Any of the foregoing could have a material adverse effect on our business, financial condition, results of operations, and prospects.
Obtaining and maintaining patent protection of our technologies depends on compliance with various procedural, document submission, fee payment and other requirements imposed by governmental patent agencies, and our patent protection could be reduced or eliminated for non-compliance with these requirements.
Periodic maintenance fees, renewal fees, annuity fees and various other governmental fees on patents and applications are required to be paid to the USPTO and various governmental patent agencies outside of the United States in several stages over the lifetime of the patents and applications. The USPTO and various non- U.S. governmental patent agencies require compliance with a number of procedural, documentary, fee payment and other similar provisions during the patent application process and after a patent has issued. There are situations in which non-compliance can result in abandonment or lapse of the patent or patent application, resulting in partial or complete loss of patent rights in the relevant jurisdiction. Under the terms of some of our licenses, we do not have the ability to maintain or prosecute patents in the portfolio, and must therefore rely on third parties to comply with these requirements. Failure by us or our licensors to maintain protection of our patent portfolio could have a material adverse effect on our business, financial condition, results of operations, and prospects.
| 51 |
In addition, it is possible that defects of form in the preparation or filing of our patents or patent applications may exist, or may arise in the future, for example with respect to proper priority claims, inventorship, claim scope, or requests for patent term adjustments. If we fail to establish, maintain or protect such patents and other intellectual property rights, such rights may be reduced or eliminated. If any of our present or future partners, collaborators, licensees, or licensors, are not fully cooperative or disagree with us as to the prosecution, maintenance or enforcement of any patent rights, such patent rights could be compromised. If there are material defects in the form, preparation, prosecution, or enforcement of our patents or patent applications, such patents may be invalid and/or unenforceable, and such applications may never result in valid, enforceable patents. Any of these outcomes could impair our ability to prevent competition from third parties, which may have a material adverse effect on our business, financial condition, results of operations, and prospects.
Patent terms may be inadequate to protect our competitive position on our products for an adequate amount of time and if we do not obtain protection under the Hatch-Waxman Amendments and similar non- U.S. legislation for extending the term of patents covering each of our product candidates, our business may be materially harmed.
Patents have a limited lifespan. In the United States, the natural expiration of a patent is generally 20 years after it is filed. Various extensions may be available, however, the life of a patent, and the protection it affords, is limited. Given the amount of time required for the development, testing and regulatory review of new product candidates, patents protecting such candidates might expire before or shortly after such candidates are commercialized. As a result, our patent portfolio might not provide us with adequate and continuing patent protection sufficient to exclude others from commercializing products similar to our product candidates.
Depending upon the timing, duration and conditions of FDA marketing approval of our product candidates, one or more of our U.S. patents may be eligible for limited patent term extension under the Drug Price Competition and Patent Term Restoration Act of 1984, referred to as the Hatch-Waxman Amendments and similar legislation in the European Union. The Hatch-Waxman Amendments permit a patent term extension of up to five years for a patent covering an approved product as compensation for effective patent term lost during product development and the FDA regulatory review process. A patent term extension cannot extend the remaining term of a patent beyond a total of 14 years from the date of product approval, only one patent may be extended and only those claims covering the approved drug, a method for using it, or a method for manufacturing it may be extended. However, we might not receive an extension if we fail to apply within applicable deadlines, fail to apply prior to expiration of relevant patents or otherwise fail to satisfy applicable requirements. Moreover, the length of the extension could be less than we request. If we are unable to obtain patent term extension or the term of any such extension is less than we request, the period during which we can enforce our patent rights for that product will be shortened and our competitors may obtain approval to market competing products sooner. As a result, our revenue from applicable products could be reduced and could have a material adverse effect on our business, financial condition, results of operations, and prospects.
Changes to the patent law in the United States or other jurisdictions could diminish the value of patents in general, thereby impairing our ability to protect our products.
Our success is heavily dependent on intellectual property, particularly patents. Obtaining and enforcing patents in the biopharmaceutical industry involves both technological and legal complexity and is therefore costly, time consuming and inherently uncertain. The Leahy-Smith America Invents Act, or the America Invents Act, reformed U.S. patent law in part by changing the U.S. patent system from a “first to invent” system to a “first inventor to file” system, expanding the definition of prior art, and developing a post-grant review system. This legislation changed U.S. patent law in a way that may weaken our ability to obtain patent protection in the United States for those applications filed after March 16, 2013.
Further, the America Invents Act created new procedures to challenge the validity of issued patents in the United States, including post-grant review and inter partes review proceedings, which some third parties have been using to cause the cancellation of selected or all claims of issued patents of competitors. For a patent with an effective filing date of March 16, 2013 or later, a petition for post-grant review can be filed by a third party in a nine-month window from issuance of the patent. A petition for inter partes review can be filed immediately following the issuance of a patent if the patent has an effective filing date prior to March 16, 2013. A petition for inter partes review can be filed after the nine-month period for filing a post-grant review petition has expired for a patent with an effective filing date of March 16, 2013 or later. Post-grant review proceedings can be brought on any ground of invalidity, whereas inter partes review proceedings can only raise an invalidity challenge based on published prior art and patents. These adversarial actions at the USPTO review patent claims without the presumption of validity afforded to U.S. patents in lawsuits in U.S. federal courts, and use a lower burden of proof than used in litigation in U.S. federal courts. Therefore, it is generally considered easier for a competitor or third party to have a U.S. patent invalidated in a USPTO post-grant review or inter partes review proceeding than invalidated in a litigation in a U.S. federal court. If any of our patents are challenged by a third party in such a USPTO proceeding, there is no guarantee that we, our licensors or collaborators will be successful in defending the patent, which would result in a loss of the challenged patent right to us.
| 52 |
In addition, recent court rulings in cases such as Association for Molecular Pathology v. Myriad Genetics, Inc., BRCA1- & BRCA2-Based Hereditary Cancer Test Patent Litigation, Promega Corp. v. Life Technologies Corp. and Abbvie Deutschland GmbH v. Janssen Biotech, Inc. have narrowed the scope of patent protection available in certain circumstances and weakened the rights of patent owners in certain situations. In addition to increasing uncertainty with regard to our ability to obtain patents in the future, this combination of events has created uncertainty with respect to the value of patents once obtained. Depending on future actions by the U.S. Congress, the U.S. courts, the USPTO and the relevant law-making bodies in other countries, the laws and regulations governing patents could change in unpredictable ways that would weaken our ability to obtain new patents or to enforce our existing patents and patents that we might obtain in the future. Any changes to patent law in the United States or other jurisdictions that impairs our ability to protect our product candidates could have a material adverse effect on our business, financial condition, results of operations, and prospects.
We might not be able to enforce our intellectual property rights throughout the world.
Filing, prosecuting, enforcing and defending patents on our product candidates in all countries throughout the world would be prohibitively expensive, and our intellectual property rights in some foreign countries can be less extensive than those in the United States. The requirements for patentability may differ in certain countries, particularly in developing countries; thus, even in countries where we do pursue patent protection, there can be no assurance that any patents will issue with claims that cover our products.
Moreover, our ability to protect and enforce our intellectual property rights may be adversely affected by unforeseen changes in foreign intellectual property laws. Many companies have encountered significant problems in protecting and defending intellectual property rights in certain foreign jurisdictions. The legal systems of some countries, including India, China and other developing countries, do not favor the enforcement of patents and other intellectual property rights. This could make it difficult for us to stop the infringement of our patents or the misappropriation of our other intellectual property rights. For example, many foreign countries have compulsory licensing laws under which a patent owner must grant licenses to third parties. Consequently, we might not be able to prevent third parties from practicing our inventions in certain foreign countries. Competitors may use our technologies in jurisdictions where we have not obtained patent protection to develop and market their own products and, further, may export otherwise infringing products to territories where we have patent protection, if our ability to enforce our patents to stop infringing activities is inadequate. These products may compete with our products, and our patents or other intellectual property rights might not be effective or sufficient to prevent them from competing.
Agreements through which we license patent rights might not give us sufficient rights to permit us to pursue enforcement of our licensed patents or defense of any claims asserting the invalidity of these patents (or control of enforcement or defense) of such patent rights in all relevant jurisdictions as requirements may vary.
Proceedings to enforce our patent rights in foreign jurisdictions, whether or not successful, could result in substantial costs and divert our efforts and resources from other aspects of our business. Moreover, such proceedings could put our patents at risk of being invalidated or interpreted narrowly and our patent applications at risk of not issuing and could provoke third parties to assert claims against us. We might not prevail in any lawsuits that we initiate and the damages or other remedies awarded, if any, might not be commercially meaningful. Furthermore, while we intend to protect our intellectual property rights in major markets for our products, we cannot ensure that we will be able to initiate or maintain similar efforts in all jurisdictions in which we may wish to market our products. Accordingly, our efforts to protect our intellectual property rights in such countries may be inadequate. Any of the foregoing could have a material adverse effect on our business, financial condition, results of operations, and prospects.
If we are sued for infringing, misappropriating, or otherwise violating intellectual property rights of third parties, such litigation could be costly and time consuming and could prevent or delay us from developing or commercializing our product candidates.
Our commercial success depends, in part, on our ability to develop, manufacture, market and sell our product candidates without infringing, misappropriating, or otherwise violating the intellectual property and other proprietary rights of third parties. Third parties may have U.S. and non- U.S. issued patents and pending patent applications relating to compounds, methods of manufacturing compounds and/or methods of use for the treatment of the disease indications for which we are developing our product candidates that may cover our product candidates or approach to complement inhibition. If any third-party patents or patent applications are found to cover our product candidates or their methods of use or manufacture, or our approach to complement inhibition, we might not be free to manufacture or market our product candidates as planned without obtaining a license, which might not be available on commercially reasonable terms, or at all.
| 53 |
There is a substantial amount of intellectual property litigation in the biotechnology and pharmaceutical industries, and we may become party to, or threatened with, litigation or other adversarial proceedings regarding intellectual property rights with respect to our product candidates, including interference and post-grant proceedings before the USPTO. There may be third-party patents or patent applications with claims to materials, formulations, methods of manufacture or methods for treatment related to the composition, use or manufacture of our product candidates. We cannot guarantee that any of our patent searches or analyses including, but not limited to, the identification of relevant patents, the scope of patent claims or the expiration of relevant patents are complete or thorough, nor can we be certain that we have identified each and every patent and pending application in the United States and abroad that is relevant to or necessary for the commercialization of our product candidates in any jurisdiction. Because patent applications can take many years to issue, there may be currently pending patent applications which may later result in issued patents that our product candidates may be accused of infringing. In addition, third parties may obtain patents in the future and claim that use of our technologies infringes upon these patents. Accordingly, third parties may assert infringement claims against us based on intellectual property rights that exist now or arise in the future. The outcome of intellectual property litigation is subject to uncertainties that cannot be adequately quantified in advance. The pharmaceutical and biotechnology industries have produced a significant number of patents, and it might not always be clear to industry participants, including us, which patents cover various types of products or methods of use or manufacture. The scope of protection afforded by a patent is subject to interpretation by the courts, and the interpretation is not always uniform. If we are sued for patent infringement, we would need to demonstrate that our product candidates, products or methods either do not infringe the patent claims of the relevant patent or that the patent claims are invalid or unenforceable, and we might not be able to do this. Proving invalidity is difficult. For example, in the United States, proving invalidity requires a showing of clear and convincing evidence to overcome the presumption of validity enjoyed by issued patents. Even if we are successful in these proceedings, we may incur substantial costs and the time and attention of our management and scientific personnel could be diverted in pursuing these proceedings, which could significantly harm our business and operating results. In addition, we might not have sufficient resources to bring these actions to a successful conclusion. Further, the outcome of intellectual property litigation is subject to uncertainties that cannot be adequately quantified in advance, including the demeanor and credibility of witnesses and the identity of any adverse party. This is especially true in intellectual property cases that may turn on the testimony of experts as to technical facts upon which experts may reasonably disagree.
If we are found to infringe, misappropriate, or otherwise violate a third party’s intellectual property rights, we could be forced, including by court order, to cease developing, manufacturing or commercializing the infringing product candidate or product. Alternatively, we may be required to obtain a license from such third party in order to use the infringing technology and continue developing, manufacturing or marketing the infringing product candidate or product. However, we might not be able to obtain any required license on commercially reasonable terms or at all. Even if we were able to obtain a license, it could be non-exclusive, thereby giving our competitors access to the same technologies licensed to us; alternatively or additionally it could include terms that impede or destroy our ability to compete successfully in the commercial marketplace. In addition, we could be found liable for monetary damages, including treble damages and attorneys’ fees if we are found to have willfully infringed a patent. A finding of infringement could prevent us from commercializing our product candidates or force us to cease some of our business operations, which could harm our business. Claims that we have misappropriated the confidential information or trade secrets of third parties could have a similar negative impact on our business. Any of the foregoing could have a material adverse effect on our business, financial condition, results of operations, and prospects.
We may be subject to claims by third parties asserting that our employees or we have misappropriated their intellectual property, or claiming ownership of what we regard as our own intellectual property and proprietary technology.
Many of our current and former employees and our licensors’ current and former employees, including our senior management, were previously employed at universities or at other biotechnology or pharmaceutical companies, including some which may be competitors or potential competitors. Although we try to ensure that our employees do not use the proprietary information or know-how of others in their work for us, we may be subject to claims that we or these employees have used or disclosed intellectual property, including trade secrets or other proprietary information, of any such third party. Litigation may be necessary to defend against such claims. If we fail in defending any such claims, in addition to paying monetary damages, we may lose valuable intellectual property rights or personnel or sustain damages. Such intellectual property rights could be awarded to a third party, and we could be required to obtain a license from such third party to commercialize our technology or products. Such a license might not be available on commercially reasonable terms or at all. Even if we are successful in defending against such claims, litigation could result in substantial costs and be a distraction to management.
In addition, while we typically require our employees, consultants and contractors who may be involved in the development of intellectual property to execute agreements assigning such intellectual property to us, we may be unsuccessful in executing such an agreement with each party who in fact develops intellectual property that we regard as our own, which may result in claims by or against us related to the ownership of such intellectual property. If we fail in prosecuting or defending any such claims, in addition to paying monetary damages, we may lose valuable intellectual property rights. Even if we are successful in prosecuting or defending against such claims, litigation could result in substantial costs and be a distraction to our senior management and scientific personnel. Any of the foregoing could have a material adverse effect on our business, financial condition, results of operations, and prospects.
| 54 |
We may become involved in lawsuits to protect or enforce our patents or other intellectual property, which could be expensive, time consuming and unsuccessful.
Competitors may infringe, misappropriate, or otherwise violate our patents, trademarks, copyrights or other intellectual property. To counter infringement or unauthorized use, we may be required to file infringement claims, which can be expensive and time consuming and divert the time and attention of our management and scientific personnel. Any claims we assert against perceived infringers could provoke these parties to assert counterclaims against us alleging that we infringe their patents, in addition to counterclaims asserting that our patents are invalid or unenforceable, or both. In any patent infringement proceeding, there is a risk that a court will decide that a patent of ours is invalid or unenforceable, in whole or in part, and that we do not have the right to stop the other party from using the invention at issue. There is also a risk that, even if the validity of such patents is upheld, the court will construe the patent’s claims narrowly or decide that we do not have the right to stop the other party from using the invention at issue on the grounds that our patent claims do not cover the invention. An adverse outcome in a litigation or proceeding involving one or more of our patents could limit our ability to assert those patents against those parties or other competitors, and may curtail or preclude our ability to exclude third parties from making and selling similar or competitive products. Similarly, if we assert trademark infringement claims, a court may determine that the marks we have asserted are invalid or unenforceable, or that the party against whom we have asserted trademark infringement has superior rights to the marks in question. In this case, we could ultimately be forced to cease use of such trademarks.
Further, the outcome of intellectual property litigation is subject to uncertainties that cannot be adequately quantified in advance, including the demeanor and credibility of witnesses and the identity of any adverse party. This is especially true in intellectual property cases that may turn on the testimony of experts as to technical facts upon which experts may reasonably disagree.
Even if we establish infringement, the court may decide not to grant an injunction against further infringing activity and instead award only monetary damages, which might not be an adequate remedy. Furthermore, because of the substantial amount of discovery required in connection with intellectual property litigation, there is a risk that some of our confidential information could be compromised by disclosure during litigation. There could also be public announcements of the results of hearings, motions or other interim proceedings or developments. If securities analysts or investors perceive these results to be negative, it could adversely affect the price of our common shares. Moreover, there can be no assurance that we will have sufficient financial or other resources to file and pursue such infringement claims, which typically last for years before they are concluded. Even if we ultimately prevail in such claims, the monetary cost of such litigation and the diversion of the attention of our management and scientific personnel could outweigh any benefit we receive as a result of the proceedings. Any such litigation could have a material adverse effect on our business, financial condition, results of operations, and prospects.
If we fail to comply with our obligations under our existing and any future intellectual property licenses with third parties, we could lose license rights that are important to our business.
We may be reliant upon licenses to certain patent rights and proprietary technology form third parties that are important or necessary to the development of our product candidates. These and other licenses might not provide exclusive rights to use such intellectual property and technology in all relevant fields of use and in all territories in which we may wish to develop or commercialize our technology and products in the future. As a result, we might not be able to prevent competitors from developing and commercializing competitive products in territories included in all of our licenses. Our licensors may have relied on third party consultants or collaborators or funds from third parties such that our licensors are not the sole and exclusive owners of the patents we in-license. This could have a material adverse effect on our competitive position, business, financial conditions, results of operations and prospects.
In addition, the agreements under which we license patent rights might not give us control over patent prosecution or maintenance, so that we might not be able to control which claims or arguments are presented and might not be able to secure, maintain, or successfully enforce necessary or desirable patent protection from those patent rights. We cannot be certain that patent prosecution and maintenance activities by our licensors will be conducted in compliance with applicable laws and regulations or will result in valid and enforceable patents. Even if we are permitted to pursue such enforcement or defense, we will require the cooperation of our licensors, and cannot guarantee that we would receive it and on what terms. We cannot be certain that our licensors will allocate sufficient resources or prioritize their or our enforcement of such patents or defense of such claims to protect our interests in any licensed patents. If we cannot obtain patent protection, or enforce existing or future patents against third parties, it could have a material adverse effect on our business, financial condition, results of operations, and prospects.
| 55 |
Further, the agreements under which we currently license intellectual property or technology to or from third parties are complex, and certain provisions in such agreements may be susceptible to multiple interpretations. The resolution of any contract interpretation disagreement that may arise could narrow what we believe to be the scope of our rights to the relevant intellectual property or technology, or increase what we believe to be our financial or other obligations under the relevant agreement, either of which could have a material adverse effect on our business, financial conditions, results of operations, and prospects. Moreover, if disputes over intellectual property that we license prevent or impair our ability to maintain our licensing arrangements on commercially acceptable terms, we may be unable to successfully develop and commercialize the affected product candidates, which could have a material adverse effect on our business, financial conditions, results of operations, and prospects. Disputes may arise regarding intellectual property subject to a licensing agreement, including:
| • | the scope of rights granted under the license agreement and other interpretation-related issues; |
| • | the extent to which our technology and processes infringe on intellectual property of the licensor that is not subject to the licensing agreement; |
| • | the sublicensing of patent and other rights under current and any future collaborative development relationships; |
| • | our diligence obligations under any license agreement and what activities satisfy such obligations; |
| • | the inventorship and ownership of inventions and know-how resulting from the joint creation or use of intellectual property by our license counterparties and us and our partners; and |
| • | the priority of invention of patented technology. |
In spite of our efforts, our license counterparties might conclude that we have materially breached our license agreements and might therefore terminate the license agreements, which may remove our ability to develop and commercialize the product candidates and technology covered by these license agreements. If any in-licenses are terminated, competitors would have the freedom to seek regulatory approval of, and to market, products identical to ours. It is possible that we may be unable to obtain any additional licenses that we require at a reasonable cost or on reasonable terms, if at all. In that event, we may be required to expend significant time and resources to redesign our product candidates, technology, or the methods for manufacturing them or to develop or license replacement technology, all of which might not be feasible on a technical or commercial basis. If we are unable to do so, we may be unable to develop or commercialize the affected product candidates, which could harm our business, financial condition, results of operations, and prospects significantly. Any of these events could have a material adverse effect on our competitive position, business, financial conditions, results of operations, and prospects.
If we are unable to protect the confidentiality of our trade secrets, the value of our technology could be negatively impacted and our business would be harmed.
In addition to the protection afforded by patents, we also rely on trade secret protection for certain aspects of our intellectual property. However, trade secrets are difficult to protect. We seek to protect these trade secrets, in part, by entering into non-disclosure and confidentiality agreements with parties who have access to them, such as our employees, consultants, independent contractors, advisors, contract manufacturers, suppliers and other third parties. We also enter into confidentiality and invention or patent assignment agreements with employees and certain consultants. Any party with whom we have executed such an agreement may breach that agreement and disclose our proprietary information, including our trade secrets, and we might not be able to obtain adequate remedies for such breaches. Enforcing a claim that a party illegally disclosed or misappropriated a trade secret is difficult, expensive and time-consuming, and the outcome is unpredictable. Additionally, if the steps taken to maintain our trade secrets are deemed inadequate, we may have insufficient recourse against third parties for misappropriating the trade secret. Further, if any of our trade secrets were to be lawfully obtained or independently developed by a competitor, we would have no right to prevent such third party, or those to whom they communicate such technology or information, from using that technology or information to compete with us. If any of our trade secrets were to be disclosed to or independently developed by a competitor, it could have a material adverse effect on our business, financial condition, results of operations, and prospects.
If our trademarks and trade names are not adequately protected, then we might not be able to build name recognition in our marks of interest and our business may be adversely affected.
Our trademarks or trade names, including OptejetTM, may be challenged, infringed, circumvented or declared generic or determined to be infringing on other marks. We rely on both registration and common law protection for our trademarks. We might not be able to protect our rights to these trademarks and trade names or may be forced to stop using these names, which we need for name recognition by potential partners or customers in our markets of interest. During trademark registration proceedings, we may receive rejections. Although we would be given an opportunity to respond to those rejections, we may be unable to overcome such rejections. In addition, in the USPTO and in comparable agencies in many foreign jurisdictions, third parties are given an opportunity to oppose pending trademark applications and to seek to cancel registered trademarks. Opposition or cancellation proceedings may be filed against our trademarks, and our trademarks might not survive such proceedings. If we are unable to establish name recognition based on our trademarks and trade names, we might not be able to compete effectively and our business may be adversely affected.
| 56 |
RISKS RELATED TO OWNERSHIP OF OUR COMMON STOCK
Our management and members of our Board of Directors have the ability to substantially influence all matters submitted to stockholders for approval.
As of March 20, 2019, our management and members of our Board of Directors, in the aggregate, beneficially owned shares representing approximately 43% of our capital stock. As a result, they can substantially influence all matters submitted to our stockholders for approval, as well as our management and affairs. For example, these persons would substantially influence the election of directors and approval of any merger, consolidation or sale of all or substantially all of our assets. This concentration of voting power could delay or prevent an acquisition of our company on terms that other stockholders desire or result in management of our company that our public stockholders disagree with.
A significant portion of our total outstanding shares may be sold into the market in the near future, which could cause the market price of our common stock to drop significantly, even if our business is performing well.
Sales of a substantial number of shares of our common stock in the public market could occur at any time, subject to certain restrictions. These sales, or the perception in the market that holders of a large number of shares intend to sell shares, could reduce the market price of our common stock. As of March 20, 2019, we had 12,019,148 shares of common stock outstanding, all of which may be resold in the public market immediately without restriction, other than shares owned by our affiliates, which may only be sold pursuant to Rule 144.
If securities analysts do not continue to publish research or reports about our business or if they publish negative evaluations of our stock, the price of our stock could decline.
The trading market for our common stock will rely, in part, on the research and reports that industry or financial analysts publish about us or our business. If securities analysts do not continue coverage of us, the trading price of our stock could decrease. Additionally, if one or more of the analysts covering our business downgrade their evaluations of our stock, the price of our stock could decline. If one or more of these analysts cease to cover our stock, we could lose visibility in the market for our stock, which in turn could cause our stock price to decline.
The price of our common stock may be volatile and fluctuate substantially, which could result in substantial losses for purchasers of our common stock.
The stock market historically has experienced extreme price and volume fluctuations. As a result of this volatility and because the public market for our stock is new, you might not be able to sell your common stock at or above the price at which you purchase it. From our IPO in January 2018 through December 31, 2018, the per share trading price of our common stock has been as high as $10.74 and as low as $2.40. It might continue to fluctuate significantly in response to various factors, some of which are beyond our control. These factors include:
| • | our ability to successfully proceed to and conduct clinical trials; |
| • | results of clinical trials of our product candidates or those of our competitors; |
| • | the success of competitive products or technologies; |
| • | commencement or termination of collaborations; |
| • | regulatory or legal developments in the United States and other countries; |
| • | developments or disputes concerning patent applications, issued patents or other proprietary rights; |
| • | the recruitment or departure of key personnel; |
| • | the level of expenses related to any of our product candidates or clinical development programs; |
| • | the results of our efforts to discover, develop, acquire or in-license additional product candidates; |
| • | actual or anticipated changes in estimates as to financial results, development timelines or recommendations by securities analysts; |
| 57 |
| • | our inability to obtain or delays in obtaining adequate product supply for any approved product or inability to do so at acceptable prices; |
| • | disputes or other developments relating to proprietary rights, including patents, litigation matters and our ability to obtain patent protection for our technologies; |
| • | significant lawsuits, including patent or stockholder litigation; |
| • | variations in our financial results or those of companies that are perceived to be similar to us; |
| • | changes in the structure of healthcare payment systems; |
| • | market conditions in the pharmaceutical and biotechnology sectors; |
| • | general economic, industry and market conditions; and |
| • | the other factors described in this “Risk Factors” section. |
We have broad discretion in the use of our cash, including the net proceeds from our IPO and our follow-on offering, and might not use them effectively.
Our management will have broad discretion in the application of our cash, including the net proceeds from our IPO and our December 2018 follow-on public offering of common stock, and could spend our cash in ways that do not improve our results of operations or enhance the value of our common stock. The failure by our management to apply these funds effectively could result in financial losses that could have a material adverse effect on our business, cause the price of our common stock to decline and delay the development of our product candidates. Pending their use, we may invest our cash, including the net proceeds from our IPO and follow-on offering, in a manner that does not produce income or that loses value.
Our business is subject to changing regulations regarding corporate governance, disclosure controls, internal control over financial reporting, and other compliance areas that will increase both our costs and the risk of noncompliance.
As a public company, we are subject to the reporting requirements of the Exchange Act, the Sarbanes-Oxley Act of 2002, or the Sarbanes-Oxley Act, the Dodd-Frank Act, and the rules and regulations of our stock exchange. The requirements of these rules and regulations will increase our legal, accounting, and financial compliance costs, will make some activities more difficult, time-consuming, and costly, and may also place undue strain on our personnel, systems, and resources.
The Sarbanes-Oxley Act requires, among other things, that we maintain effective disclosure controls and procedures and internal control over financial reporting. Commencing with our fiscal year ending December 31, 2018, we must perform system and process evaluation and testing of our internal control over financial reporting to allow management to report on the effectiveness of our internal control over financial reporting, as required by Section 404 of the Sarbanes-Oxley Act. Our compliance with Section 404 of the Sarbanes-Oxley Act will require that we incur substantial accounting expense and expend significant management efforts. Prior to our IPO, we had never been required to test our internal controls within a specified period, and, as a result, we may experience difficulty in meeting these reporting requirements in a timely manner.
We are required to disclose changes made to our internal control and procedures on a quarterly basis. However, our independent registered public accounting firm will not be required to formally attest to the effectiveness of our internal control over financial reporting pursuant to Section 404 of the Sarbanes-Oxley Act until we are no longer an “emerging growth company” as defined in the Jumpstart Our Business Startups Act of 2012 (JOBS Act), if we take advantage of the exemption available under the JOBS Act to the auditor attestation requirement in Section 404(b) of the Sarbanes-Oxley Act. If we are not able to comply with the requirements of Section 404 of the Sarbanes-Oxley Act in a timely manner, the market price of our stock could decline and we could be subject to sanctions or investigations by the stock exchange on which our common stock is listed, the SEC, or other regulatory authorities, which would require additional financial and management resources.
| 58 |
Failure to develop and maintain adequate financial controls could cause us to have material weaknesses, which could adversely affect our operations and financial position.
As previously reported, in the fourth quarter of 2017, we identified certain material weaknesses in internal controls including regarding insufficient segregation of duties in our finance and accounting function because of our limited personnel, properly identifying all related party relationships and transactions so that they could be evaluated for disclosure in our public filings, properly communicating the terms of certain agreements entered into by us to the Board of Directors in order for the Board to take the appropriate actions, and adequately recording research and development expenses in our internal books and records to permit timely and accurate financial reporting. While we have remedied these weaknesses, we might in the future discover other material weaknesses that require additional remediation. In addition, an internal control system, no matter how well-designed, cannot provide absolute assurance that misstatements due to error or fraud will not occur or that all control issues and instances of fraud will be detected. If we are not able to comply with the requirements of Section 404 of the Sarbanes-Oxley Act in a timely manner, or if we are unable to maintain proper and effective internal controls, we might not be able to produce timely and accurate financial statements. If that were to happen, the market price of our stock could decline and we could be subject to sanctions or investigations by the stock exchange on which our common stock is listed, the SEC, or other regulatory authorities.
Any failure to develop or maintain effective controls, or any difficulties encountered in their implementation or improvement, could harm our operating results or cause us to fail to meet our reporting obligations. Any failure to implement and maintain effective internal controls also could adversely affect the results of periodic management evaluations regarding the effectiveness of our internal control over financial reporting that we are required to include in our periodic reports filed with the SEC under Section 404 of the Sarbanes-Oxley Act. Ineffective disclosure controls and procedures or internal control over financial reporting could also cause investors to lose confidence in our reported financial and other information, which would likely have a negative effect on the trading price of our common stock. Implementing any appropriate changes to our internal controls may require specific compliance training of our directors, officers, and employees, entail substantial costs in order to modify our existing accounting systems, and take a significant period of time to complete. Such changes may not be effective, however, in maintaining the adequacy of our internal controls, and any failure to maintain that adequacy, or consequent inability to produce accurate financial statements on a timely basis, could increase our operating costs and could materially impair our ability to operate our business. In the event that we are not able to demonstrate compliance with Section 404 of the Sarbanes-Oxley Act in a timely manner, that our internal controls are perceived as inadequate, or that we are unable to produce timely or accurate financial statements, investors may lose confidence in our operating results and our stock price could decline.
We are an “emerging growth company” and the reduced disclosure requirements applicable to emerging growth companies may make our common stock less attractive to investors.
We are an emerging growth company. Under the JOBS Act, emerging growth companies can delay adopting new or revised accounting standards until such time as those standards apply to private companies. We have elected to avail ourselves of this exemption from new or revised accounting standards.
For as long as we continue to be an emerging growth company, we intend to take advantage of certain other exemptions from various reporting requirements that are applicable to other public companies including, but not limited to, reduced disclosure obligations regarding executive compensation in our periodic reports and proxy statements, exemptions from the requirements of holding a nonbinding advisory vote on executive compensation and stockholder approval of any golden parachute payments not previously approved, and exemptions from the requirements of auditor attestation reports on the effectiveness of our internal control over financial reporting. We cannot predict if investors will find our common stock less attractive because we will rely on these exemptions. If some investors find our common stock less attractive as a result, there may be a less active trading market for our common stock and our stock price may be more volatile.
We will remain an emerging growth company until the earliest of (i) the end of the fiscal year in which the market value of our common stock that is held by non-affiliates exceeds $700 million as of June 30 of that fiscal year, (ii) the end of the fiscal year in which we have total annual gross revenue of $1.07 billion or more during such fiscal year, (iii) the date on which we issue more than $1 billion in non-convertible debt in a three-year period, or (iv) December 31, 2023.
Provisions in our corporate charter documents and under Delaware law could make an acquisition of us, which may be beneficial to our stockholders, more difficult and may prevent attempts by our stockholders to replace or remove our current management.
Provisions in our certificate of incorporation, and our bylaws may discourage, delay or prevent a merger, acquisition or other change in control of us that stockholders may consider favorable, including transactions in which you might otherwise receive a premium for your shares. These provisions also could limit the price that investors might be willing to pay in the future for shares of our common stock, thereby depressing the market price of our common stock. In addition, because our Board of Directors is responsible for appointing the members of our management team, these provisions may frustrate or prevent any attempts by our stockholders to replace or remove our current management by making it more difficult for stockholders to replace members of our Board. Among other things, these provisions:
| • | allow the authorized number of our directors to be changed only by resolution adopted by a majority of our Board; |
| • | limit the manner in which stockholders can remove directors from the Board, as may be permitted by law; |
| 59 |
| • | establish advance notice requirements for stockholder proposals that can be acted on at stockholder meetings and nominations to our Board; |
| • | limit who may call stockholder meetings; |
| • | authorize our Board to issue preferred stock without stockholder approval, which could be used to institute a stockholder rights plan, or so-called “poison pill,” that would work to dilute the stock ownership of a potential hostile acquirer, effectively preventing acquisitions that have not been approved by our Board; and |
| • | require all stockholder action to take place at duly called stockholder meetings and disallow the ability of our stockholders to act by majority written consent. |
Moreover, because we are incorporated in Delaware, we are governed by the provisions of Section 203 of the Delaware General Corporation Law, which prohibits a person who owns in excess of 15% of our outstanding voting stock from merging or combining with us for a period of three years after the date of the transaction in which the person acquired in excess of 15% of our outstanding voting stock, unless the merger or combination is approved in a prescribed manner.
Our certificate of incorporation provides that the Court of Chancery of the State of Delaware is, to the fullest extent permitted by law, the sole and exclusive forum for substantially all disputes between us and our stockholders. These choice of forum provisions could limit the ability of stockholders to obtain a favorable judicial forum for disputes with us or our directors, officers or employees.
Unless we consent to the selection of an alternative forum, our certificate of incorporation provides that the Court of Chancery of the State of Delaware, or the Court of Chancery, will be, to the fullest extent permitted by law, the sole and exclusive forum for any derivative action or proceeding brought on our behalf; any action asserting a claim of breach of fiduciary duty owed by any of our directors, officers or other employees or agent to the Company or our stockholders; any action asserting a claim against us arising pursuant to the Delaware General Corporation Law, or DGCL, or our certificate of incorporation or bylaws; any action to enforce or determine the validity of our certificate of incorporation or bylaws; or any action asserting a claim against us that is governed by the internal affairs doctrine. Since the choice of forum provisions are only applicable to “the fullest extent permitted by law,” as provided in our certificate of incorporation, the provisions do not designate the Court of Chancery as the exclusive forum for any derivative action or other claim for which the applicable statute creates exclusive jurisdiction in another forum. As such, the choice of forum provisions do not apply to any actions arising under the Securities Act of 1933, as amended or the Exchange Act.
These choice of forum provisions may limit a stockholder’s ability to bring a claim in a judicial forum that it finds favorable for disputes with us or our directors, officers or other employees, which may discourage such lawsuits against us and our directors, officers and other employees. Alternatively, if a court were to find the choice of forum provisions contained in our certificate of incorporation to be inapplicable or unenforceable in an action, we may incur additional costs associated with resolving such action in other jurisdictions, which could materially adversely affect our business, financial condition and operating results.
Because we do not anticipate paying any cash dividends on our common stock in the foreseeable future, capital appreciation, if any, will be your sole source of gain.
We have never declared or paid cash dividends on our common stock. We currently intend to retain all of our future earnings, if any, to finance the growth and development of our business. In addition, the terms of any future debt agreements may preclude us from paying dividends. As a result, capital appreciation, if any, of our common stock will be your sole source of gain for the foreseeable future.
| Item 1B. | Unresolved Staff Comments. |
Smaller reporting companies such as us are not required to provide the information required by this Item.
| Item 2. | Properties. |
Our principal executive offices are located in approximately 3,800 square feet of office space in New York City, NY. In addition, we lease approximately 1,000 square feet of office space in Reno, Nevada where we perform certain of our research and development activities.
We believe that our existing facilities are adequate to meet our current needs, and that suitable additional alternative spaces will be available in the future on commercially reasonable terms.
| 60 |
| Item 3. | Legal Proceedings. |
The Company, its Chief Executive Officer and members of its Board of Directors were named as defendants in a legal proceeding filed in the United States District Court for the District of New Jersey on September 2, 2014 in connection with the Company’s Asset Purchase Agreement with Corinthian Ophthalmic, Inc. (“Corinthian”). A shareholder of Corinthian, alleged a fraudulent transfer, and sought to recover the purchase price of its Corinthian shares and other damages in aggregate amount of approximately $1.1 million. The court conducted a pretrial conference on January 22, 2018 and entered a final pretrial order on January 23, 2018. On October 29, 2018, the parties entered into a Settlement Agreement pursuant to which the defendants agreed to pay the Corinthian shareholder $600,000 in exchange for the release of all related claims. While the Company is indemnified by Corinthian and Corinthian's applicable insurance policy provides coverage of $10 million, in an effort to avoid the additional legal costs and other resources required with a trial, the Company contributed $150,000 of the settlement amount (the remaining $450,000 was paid by Corinthian's insurance carrier), which was paid on October 29, 2018.
| Item 4. | Mine Safety Disclosures. |
Not applicable.
Executive Officers
The following table sets forth information concerning our executive officers as of March 27, 2019:
| Name | Age | Position | ||
| Tsontcho Ianchulev, M.D., M.P.H. | 45 | Chief Executive Officer, Chief Medical Officer and Director | ||
| John Gandolfo | 58 | Chief Financial Officer and Secretary | ||
| Jennifer “Ginger” Clasby | 65 | Vice President, Clinical Operations | ||
| Luke Clauson | 41 | Vice President, Research & Development | ||
| Michael Rowe | 56 | Vice President, Marketing |
Dr. Tsontcho Ianchulev has been serving as our Chief Executive Officer and Chief Medical Officer and a member of our Board of Directors since March 2014. From 2009 to 2016, he was the Chief Medical Officer and the head of technology and business development for Transcend Medical, Inc. (acquired by Novartis International AG/Alcon, Inc. (NYSE: NVS)). Prior to that, while at Genentech, Inc. (NASDAQ: DNA, before going private in 2009), Dr. Ianchulev headed the ophthalmology research group and directed the development and the FDA approval of Lucentis. Dr. Ianchulev currently serves as a director of the ASCRS Foundation and on the advisory board of Alcon. He was formerly chairman of the board of directors of ianTECH from 2014 until its acquisition by Carl Zeiss Meditec in 2019. Dr. Ianchulev received his B.S. from the University of Rochester. He received both his M.D. and an M.P.H. from Harvard University and completed his specialty training at the Doheny Eye Institute. Currently, Dr. Ianchulev serves as a professor in the New York Eye and Ear Infirmary of Mount Sinai.
John Gandolfo has been serving as our Chief Financial Officer and Secretary since December 2017. Mr. Gandolfo has approximately 30 years of experience as a chief financial officer of multiple rapidly growing private and publicly held companies with a primary focus in the life sciences, healthcare and medical device areas. Mr. Gandolfo has had direct responsibility over capital raising, including five public offerings, financial management, mergers and acquisition transactions and SEC reporting throughout his professional career. Prior to joining Eyenovia, Mr. Gandolfo was Chief Financial Officer of Xtant Medical Holdings, Inc. from July 2010 through September 2017. Prior to joining Xtant, he served as the Chief Financial Officer for Progenitor Cell Therapy LLC, a manufacturer of stem cell therapies, from January 2009 to June 2010. Prior to joining Progenitor, Mr. Gandolfo served as the Chief Financial Officer of Power Medical Interventions, Inc. (acquired by Covidien plc, which was in turn acquired by Medtronic plc), a publicly held developer and manufacturer of computerized surgical stapling and cutter systems, from January 2007 to January 2009. Prior to joining Power Medical Interventions, Mr. Gandolfo was the Chief Financial Officer of Bioject Medical Technologies, Inc. (NASDAQ: BJCT), a supplier of needle-free drug delivery systems to the pharmaceutical and biotechnology industries, from September 2001 to May 2006, and served on the Bioject’s board of directors from September 2006 through May 2007. Prior to joining Bioject, Mr. Gandolfo was the Chief Financial Officer of Capital Access Network, Inc., a privately held specialty finance company, from 2000 through September 2001, and Xceed, Inc. (OTC: EXDW), an Internet consulting firm, from 1999 to 2000. From 1994 to 1999, Mr. Gandolfo was Chief Financial Officer and Chief Operating Officer of Impath, Inc., a then publicly held, cancer-focused healthcare information company. From 1987 through 1994, he was Chief Financial Officer of Medical Resources, Inc., a then publicly held manager of diagnostic imaging centers throughout the United States. Mr. Gandolfo received his B.A. in business administration from Rutgers University. He is a certified public accountant (inactive status) who began his professional career at Price Waterhouse.
| 61 |
Jennifer “Ginger” Clasby has been serving as our Vice President, Clinical Operations since September 2017. From 2009 to September 2017, she served as Vice President, Clinical & Regulatory Affairs/Quality Assurance at Transcend Medical. In that position, she was responsible for overseeing clinical operations and regulatory processes for the company’s clinical trials in the United States, Europe and Latin America, as well as worldwide regulatory affairs, quality assurance and compliance activities. She was also a pivotal executive with Promedica International, a contract research organization, from 1994 to 2009. Prior to that, Clasby worked with ophthalmic device companies American Medical Optics and Optical Radiation Corporation in various roles for approximately 14 years in the areas of clinical affairs, manufacturing operations, marketing and sales. She serves on the University of California-Irvine Extension Life Science Advisory Committee. She holds an M.S. degree in Industrial Engineering from Arizona State University and B.S. degrees in mathematics and physics from Guilford College.
Luke Clauson has been serving as our Vice President, Research & Development and Manufacturing since August 2017. He founded a medical device-focused engineering development company, Innovative Drive Corporation, that has helped businesses of all sizes conceptualize and bring dozens of products to market, including several in ophthalmology, in 2004 and has been serving as its President since then. Mr. Clauson has been the President and a director of Inspire products, Inc. since 2012 and also serves on the board of directors of Mimic Motion, Inc. From 2016 until 2018, he was Chief Operating Officer of ianTECH. From 2009 to 2016, Mr. Clauson was Vice President, Research & Development and Operations at Transcend Medical. He started his engineering career at Cardica, Inc. (now Dex Liquidating Co.), where he ultimately directed product development for the core anastomotic business. Mr. Clauson has extensive experience in designing, validating, achieving regulatory approval and scaling for commercialization with multiple products. He holds a B.Sc. in mechanical engineering from the University of California, Davis.
Michael Rowe has been serving as our Vice President, Marketing since July 2018. From February 2016 to June 2018, Mr. Rowe was head of Global Strategic Marketing, Ophthalmology at Aerie Pharmaceuticals, Inc. (NASDAQ: AERI), where he was responsible for the United States and international commercialization, planning and execution for Rhopressa®, for the lowering of elevated IOP in patients with open-angle glaucoma or ocular hypertension. Previously, he spent 12 years at Allergan plc in various roles supporting corporate strategic initiatives as well as strategic planning for the company’s worldwide glaucoma franchise, including the development of bimatoprost SR and the global launch of Ganfort® UD. Mr. Rowe also has held senior marketing roles at Bayer Healthcare Pharmaceuticals Inc., Women First Healthcare, Inc. and Pfizer Inc (NYSE: PFE). Mr. Rowe holds an M.Sc. in Human Factors/Experimental Psychology from Rensselaer Polytechnic Institute and a B.A. in Psychology from the State University of New York at Stony Brook.
| 62 |
| Item 5. | Market for Registrant’s Common Equity, Related Stockholder Matters and Issuer Purchases of Equity Securities. |
Market for Common Equity
Our common stock trades on the Nasdaq Capital Market under the symbol “EYEN.”
Based upon information furnished by our transfer agent, at March 20, 2019, we had approximately 49 holders of record of our common stock.
Dividend Policy
We have never declared dividends on our equity securities, and currently do not plan to declare dividends on shares of our common stock in the foreseeable future. We expect to retain our future earnings, if any, for use in the operation and expansion of our business. Subject to the foregoing, the payment of cash dividends in the future, if any, will be at the discretion of our Board of Directors and will depend upon such factors as earnings levels, capital requirements, our overall financial condition and any other factors deemed relevant by our Board.
Securities Authorized for Issuance under Equity Compensation Plans
See Item 12 of this report for disclosure regarding securities authorized for issuance under equity compensation plans required by Item 201(d) of Regulation S-K.
Recent Sales of Unregistered Securities
None.
Use of Proceeds
On January 24, 2018, the SEC declared effective our Registration Statement on Form S-1 (File No. 333-222162), as amended, filed in connection with the initial public offering of our common stock. Pursuant to the Registration Statement, we registered the offer and sale of up to $35,000,000 of our common stock. On January 29, 2018, we issued and sold 2,730,000 shares of our common stock at a price to the public of $10.00 per share. Ladenburg Thalmann & Co. Inc., a subsidiary of Ladenburg Thalmann Financial Services Inc., and Roth Capital Partners acted as joint book-running managers for the offering.
As a result of the offering, we received net proceeds of approximately $24.5 million in the aggregate, which consists of gross proceeds of $27.3 million, offset by underwriting discounts and commissions of approximately $1.9 million and other offering expenses of approximately $0.9 million. No payments for such expenses were made directly or indirectly to (i) any of our officers or directors or their associates, (ii) any persons owning 10% or more of any class of our equity securities or (iii) any of our affiliates. The offering has closed.
There has been no material change in the expected use of the net proceeds from our initial public offering as described in our final prospectus, dated January 24, 2018, filed with the SEC pursuant to Rule 424(b) relating to our Registration Statement on Form
S-1.
Purchases of Equity Securities by the Issuer and Affiliated Purchasers
None.
| Item 6. | Selected Financial Data. |
Smaller reporting companies such as us are not required to provide the information required by this Item.
| 63 |
| Item 7. | Management’s Discussion and Analysis of Financial Condition and Results of Operations. |
The following discussion and analysis is based on, and should be read in conjunction with our financial statements for the years ended December 31, 2018 and 2017, which are included elsewhere in this Annual Report. This Management’s Discussion and Analysis of Financial Condition and Results of Operations contains statements that are forward-looking. These statements are based on current expectations and assumptions that are subject to risk, uncertainties and other factors. These statements are often identified by the use of words such as “may,” “will,” “expect,” “believe,” “anticipate,” “intend,” “could,” “estimate,” or “continue,” and similar expressions or variations. Actual results could differ materially because of the factors discussed in “Risk Factors” elsewhere in this Annual Report, and other factors that we have not identified.
Overview
We are a clinical stage ophthalmic biopharmaceutical company developing a pipeline of microdose therapeutics utilizing our patented piezo-print delivery technology, branded the OptejetTM. Eyenovia aims to achieve clinical microdosing of next-generation formulations of well-established ophthalmic pharmaceutical agents using its high-precision targeted ocular delivery system, which has the potential to replace conventional eye dropper delivery and improve safety, tolerability, patient compliance and topical delivery success for ophthalmic eye treatments. In the clinic, Optejet has demonstrated up to a 75% reduction in ocular drug and preservative exposure, with successful topical delivery that is consistent with the efficacy of traditional eye drop administration. Using its proprietary delivery technology, Eyenovia is developing the next generation of smart ophthalmic therapies while targeting new indications for which there are currently no drug therapies approved by the United States Food and Drug Administration, or the FDA. Eyenovia’s microdose therapeutics follow the FDA-designated pharmaceutical registrational and regulatory process. Its products are not classified by the FDA as medical devices or drug-device combination products.
Eyenovia has completed its Phase III trials for MicroStat and announced positive results from the MicroStat MIST-1 and MIST-2 studies. MicroStat is a fixed combination formulation of phenylephrine-tropicamide for mydriasis (pupil dilation), designed to be a novel approach for the estimated 80 million office-based comprehensive and diabetic eye exams and four million ophthalmic surgical dilations performed every year in the United States. Additionally, in February 2019, the FDA accepted Eyenovia’s investigational new drug application, or IND, to initiate our Phase III registration trial of MicroPine to reduce the progression of myopia in children. MicroPine is a first-in-class topical therapy for the treatment of progressive myopia, a back-of-the-eye ocular disease associated with pathologic axial elongation and sclero-retinal stretching affecting approximately five million people. We also have received clear feedback from the FDA regarding the requirements for Phase III trials for our MicroProst program. MicroProst is a novel latanoprost formulation for lowering intraocular pressure, or IOP, in patients with ocular hypertension, or OHT, primary open angle glaucoma, or PAOG, and chronic angle closure glaucoma, or CACG. MicroTears, our over-the-counter, or OTC, product candidate for hyperemia (red eye), pruritis (itch) and dry eye, will not require Phase III trials, and we plan to proceed with registration activities for MicroTears in 2019.
Results from our three Phase II clinical trials have been published in peer-reviewed literature. Two studies evaluating our mydriatic agents demonstrated how the Optejet consistently delivered precision dosing at the volume of the eye’s natural tear film capacity of 6-8 µL, which reduced ocular and systemic drug and preservative exposure, while demonstrating pupil dilation comparable to conventional eye drops with fewer side effects. In the third study, we evaluated usability, patient tolerability and IOP lowering of microdosed latanoprost administered with the Optejet. In this study, eyes receiving microdosed latanoprost achieved IOP reduction consistent with published literature on latanoprost eye drops, and administration of the medication was successful in a single attempt in more than 90% of cases. Based on the results from these clinical trials, we were able to advance MicroStat into Phase III utilizing the 505(b)(2) pathway and plan to do the same with MicroPine and MicroProst. Where possible, we also intend to use this pathway for future clinical trials in new indications with significant unmet needs.
We have not completed development of any product candidate and we have therefore not generated any revenues from product sales.
Historically, we have financed our operations principally through stock offerings, including our initial public offering and follow-on public offering that closed in January 2018 and December 2018, respectively. Although it is difficult to predict our liquidity requirements, based upon our current operating plan, we believe we will have sufficient cash to meet our projected operating requirements for at least the next twelve months. Thereafter, we may need to raise further capital, through the sale of additional equity or debt securities or otherwise, to support our future operations. If we are unable to secure additional capital, we may be required to curtail our research and development initiatives and take additional measures to reduce costs in order to conserve our cash.
Our net loss was $17.3 million for the year ended December 31, 2018. As of December 31, 2018, we had working capital and an accumulated deficit of $16.8 million and $36.5 million, respectively.
| 64 |
Financial Overview
Revenue
We have not generated any revenue from product sales since our inception and do not expect to generate any revenue from the sale of products in the near future. Our ability to generate revenues will depend heavily on the successful development, regulatory approval and commercialization of our micro-therapeutic product candidates.
Research and Development Expenses
Research and development expenses are incurred in connection with the research and development of our micro-therapeutics and consist primarily of contract service expenses. Given where we are in our life cycle, we do not separately track research and development expenses by project. Our research and development expenses consist of:
| · | direct clinical and non-clinical expenses, which include expenses incurred under agreements with contract research and contract manufacturing organizations, and costs associated with preclinical, development and regulatory activities; |
| · | personnel-related expenses, which include expenses related to consulting agreements with individuals that have since entered into employment agreements with us, as well as salaries and other compensation of employees that are attributable to research and development activities; and |
| · | facilities and other expenses, which include direct and allocated expenses for rent and maintenance of facilities, marketing, insurance and supplies used in research and development activities. |
We expense research and development costs as incurred. We record costs for some development activities, such as clinical trials, based on an evaluation of the progress to completion of specific tasks using data such as subject enrollment, clinical site activations or other information our vendors provide to us.
We expect that our research and development expenses will increase with the continuation of the aforementioned initiatives.
General and Administrative Expenses
General and administrative expenses consist primarily of payroll and related expenses, legal and other professional services, as well as non-cash stock-based compensation expense. We anticipate that our general and administrative expenses will increase in the future as we increase our headcount to support our continued research and development and the potential commercialization of our product candidates. We also anticipate increased expenses related to audit, legal, regulatory, and tax-related services associated with maintaining compliance with our exchange listing and public company reporting requirements. In addition, director and officer insurance premiums and investor relations costs associated with being a public company could increase in future periods.
Results of Operations
Year Ended December 31, 2018 Compared with Year Ended December 31, 2017
Research and Development Expenses
Research and development expenses for the year ended December 31, 2018 totaled $11.1 million, an increase of $7.3 million, or 191%, as compared to $3.8 million recorded for the year ended December 31, 2017. Research and development expenses consisted of the following:
| For the Year Ended | ||||||||
| December 31, | ||||||||
| 2018 | 2017 | |||||||
| Direct clinical and non-clinical expenses | $ | 5,785,577 | $ | 2,783,344 | ||||
| Personnel-related expenses | 2,625,437 | 546,688 | ||||||
| Supplies and materials | 1,868,548 | 207,673 | ||||||
| Non-cash stock-based compensation expenses | 821,568 | 253,562 | ||||||
| Other | 17,966 | 25,465 | ||||||
| Total research and development expenses | $ | 11,119,096 | $ | 3,816,732 | ||||
| 65 |
The increase in direct clinical and non-clinical expenses and the related research supplies and personnel-related expenses is primarily due to an increase in contracted services and the hiring of 14 additional employees to expand our research and development activities for our micro-therapeutic products. For the year ended December 31, 2018, personnel-related expenses include approximately $0.5 million of estimated expenses in connection with year-end 2018 executive bonuses that are yet to be paid. The increase in non-cash stock-based compensation expense as compared to the 2017 period was due to additional stock options that were granted in 2018.
General and Administrative Expenses
General and administrative expenses for the year ended December 31, 2018 totaled $6.1 million, an increase of $4.8 million, or 366%, as compared to $1.3 million recorded for the year ended December 31, 2017. The increase was primarily attributable to an increase in legal and professional fees of $1.9 million, payroll costs of $1.0 million (including approximately $0.2 million of estimated expenses in connection with year-end 2018 executive bonuses that are yet to be paid), non-cash stock-based compensation expense of $0.6 million, insurance expense of $0.4 million, expenses related to travel and entertainment of $0.3 million, board fees of $0.2 million, supplies and materials expenses of $0.2 million and rent expense of $0.1 million. It also was largely due to the hiring of an additional four employees associated with the growth of our business as well as costs related to being a public company.
Liquidity and Capital Resources
Since inception, we have experienced negative cash flows from operations. At December 31, 2018, our accumulated deficit since inception was $36.5 million. In January 2018, we raised aggregate net proceeds of approximately $24.5 million in our initial public offering and in December 2018, we raised aggregate net proceeds of approximately $2.8 million in our follow-on public offering.
At December 31, 2018, we had working capital and stockholders’ equity of $16.8 million and $16.9 million, respectively.
At December 31, 2018 and 2017, we had no debt outstanding.
At December 31, 2018, we had a cash balance of $19.7 million. We expect our current cash on hand to be sufficient to meet our operating and capital requirements for at least the next twelve months from the date of this filing. Thereafter, we may need to raise further capital, through the sale of additional equity or debt securities, to support our future operations. Our operating needs include the planned costs to operate our business, including amounts required to fund research and development activities including clinical studies, working capital and capital expenditures. Our future capital requirements and the adequacy of our available funds will depend on many factors, including our ability to successfully commercialize our products and services, competing technological and market developments, and the need to enter into collaborations with other companies or acquire other companies or technologies to enhance or complement our product and service offerings. If we are unable to secure additional capital, we may be required to curtail our research and development initiatives and take additional measures to reduce costs in order to conserve our cash.
During the years ended December 31, 2018 and 2017, our sources and uses of cash were as follows:
Net cash used in operating activities for the year ended December 31, 2018 was $13.1 million, which includes cash used to fund a net loss of $17.3 million, reduced by $1.6 million of non-cash expenses, partially offset by $2.5 million of net cash provided by changes in the levels of operating assets and liabilities. Net cash used in operating activities for the year ended December 31, 2017 was $4.7 million, which includes cash used to fund a net loss of $5.1 million, reduced by $0.4 million of non-cash expenses, plus less than $0.1 million of net cash used in changes in the levels of operating assets and liabilities.
Net cash used in investing activities was less than $0.1 million for the years ended December 31, 2018 and 2017 was attributable to purchases of property and equipment.
| 66 |
Cash provided by financing activities for the year ended December 31, 2018 totaled $27.6 million, which was primarily attributable to $24.8 million of net proceeds from the sale of common stock in our initial public offering and $2.8 million of net proceeds from the sale of common stock in our follow-on public offering. Cash provided by financing activities for the year ended December 31, 2017 totaled $6.6 million, which was primarily attributable to $6.4 million of proceeds from the sale of Series B convertible preferred stock and $0.4 million of proceeds from the sale of a warrant, reduced by offering costs of $0.2 million.
Off-Balance Sheet Arrangements
There are no off-balance sheet arrangements between us and any other entity that have, or are reasonably likely to have, a current or future effect on financial conditions, changes in financial conditions, revenues or expenses, results of operations, liquidity, capital expenditures or capital resources that is material to stockholders.
Critical Accounting Policies
Our critical accounting policies are included in Note 2 – Summary of Significant Accounting Policies of our financial statements included within this Annual Report.
Recently Issued Accounting Standards
Our recently issued accounting standards are included in Note 2 – Summary of Significant Accounting Policies of our financial statements included within this Annual Report.
| Item 7A. | Quantitative and Qualitative Disclosures About Market Risk. |
Smaller reporting companies such as us are not required to provide the information required by this Item.
| Item 8. | Financial Statements and Supplementary Data. |
See the financial statements included at the end of this report beginning on page F-1.
| Item 9. | Changes in and Disagreements With Accountants on Accounting and Financial Disclosure. |
Not applicable.
| Item 9A. | Controls and Procedures. |
Evaluation of Disclosure Controls and Procedures
As of the end of the period covered by this Annual Report on Form 10-K, we carried out an evaluation, under the supervision and with the participation of our management, including our principal executive officer and principal financial officer, of the effectiveness of the design and operation of our disclosure controls and procedures (as defined in Rules 13a-15(e) and 15d-15(e) under the Exchange Act). Based on the foregoing evaluation, our principal executive officer and principal financial officer concluded that, as of December 31, 2018, our disclosure controls and procedures were effective at the reasonable assurance level.
Management's Report on Internal Control over Financial Reporting
Our management, including our principal executive officer and principal financial officer, is responsible for establishing and maintaining adequate internal control over financial reporting (as defined in Rules 13a-15(f) and 15d-15(f) under the Exchange Act). Internal control over financial reporting is a process designed to provide reasonable assurance regarding the reliability of financial reporting and the preparation of financial statements for external purposes in accordance with U.S. GAAP. Our internal control over financial reporting includes those policies and procedures that: (i) pertain to the maintenance of records that, in reasonable detail, accurately and fairly reflect the transactions and dispositions of our assets; (ii) provide reasonable assurance that transactions are recorded as necessary to permit preparation of financial statements in accordance with U.S. GAAP, and that our receipts and expenditures are being made only in accordance with authorizations of our management and directors; and (iii) provide reasonable assurance regarding prevention or timely detection of unauthorized acquisition, use, or disposition of our assets that could have a material effect on the financial statements.
| 67 |
Under the supervision and with the participation of our management, including our principal executive officer and principal financial officer, we conducted an evaluation of the effectiveness of our internal control over financial reporting as of December 31, 2018, based on the Internal Control-Integrated Framework (2013) issued by the Committee of Sponsoring Organizations of the Treadway Commission (COSO) (2013 Framework). Based on this evaluation under the 2013 Framework, our principal executive officer and principal financial officer have concluded that our internal control over financial reporting was effective as of December 31, 2018.
As previously reported, we identified the following material weaknesses in internal control as of December 31, 2017:
| 1. | We had insufficient segregation of duties in our finance and accounting function because of our limited personnel. |
| 2. | We did not properly identify all related party relationships and transactions so that they could be evaluated for disclosure in our public filings. |
| 3. | The terms of certain agreements entered into by us were not properly communicated to the Board of Directors in order for the Board to take the appropriate actions. |
| 4. | We did not adequately record research and development expenses in our internal books and records to permit timely and accurate financial reporting. |
A material weakness is a deficiency, or a combination of deficiencies, within the meaning of Public Company Accounting Oversight Board (“PCAOB”) Auditing Standard AS 2201, in internal control over financial reporting, such that there is a reasonable possibility that a material misstatement of the Company's annual or interim financial statements will not be prevented or detected on a timely basis.
We implemented our remediation plan for the material weaknesses identified above and, among other things, (a) increased the oversight and review procedures of the Board of Directors and its Audit Committee with regard to financial reporting, financial processes and procedures and internal control procedures and (b) hired additional finance and accounting personnel, including a Chief Financial Officer (hired December 2017), who assisted in the process of remediating our material weaknesses. In April 2018, the Board of Directors also adopted a related party transaction policy. In July 2018, we implemented an enhanced chart of accounts designed to facilitate the timely and accurate financial reporting of research and development expenses. In September and October 2018, we implemented additional controls, including regarding disclosure procedures. The implementation and continued operation of these remedial controls lead management to conclude that, as of December 31, 2018, we have fully remediated our material weaknesses in internal control over financial reporting at a reasonable level of assurance.
Changes in Internal Control over Financial Reporting
There has been no change in our internal control over financial reporting that occurred during the fourth quarter of 2018 that has materially affected, or is reasonably likely to materially affect, our internal control over financial reporting, except as noted above as it relates to our successful remediation of material weaknesses in internal controls.
Attestation Report of Registered Public Accounting Firm
This Annual Report on Form 10-K does not include an attestation report of our independent registered public accounting firm due to an exemption established by the JOBS Act for emerging growth companies.
| Item 9B. | Other Information. |
None.
| 68 |
| Item 10. | Directors, Executive Officers, and Corporate Governance. |
Information required by this Item concerning our directors is incorporated by reference from the sections captioned “Election of Directors” and “Corporate Governance Matters” contained in our proxy statement related to the 2019 Annual Meeting of Stockholders currently scheduled to be held on June 11, 2019, which we intend to file with the SEC within 120 days of the end of our fiscal year pursuant to General Instruction G(3) of Form 10-K.
The information required by this Item concerning our Audit Committee is incorporated by reference from the section captioned “Corporate Governance Matters—Board Committees—Audit Committee” contained in our proxy statement related to the 2019 Annual Meeting of Stockholders.
We have adopted a code of business conduct and ethics relating to the conduct of our business by all of our employees, executive officers, and directors. The policy is posted on our website, www.eyenoviabio.com.
The information required by this Item concerning our executive officers is set forth at the end of Part I of this Annual Report on Form 10-K.
The information required by this Item concerning compliance with Section 16(a) of the Exchange Act is incorporated by reference from the section of the proxy statement captioned “Section 16(a) Beneficial Ownership Reporting Compliance.”
| Item 11. | Executive Compensation. |
The information required by this Item is incorporated by reference to the information under the sections captioned “Executive Compensation,” and “Director Compensation” in the proxy statement.
| Item 12. | Security Ownership of Certain Beneficial Owners and Management and Related Stockholder Matters. |
The following table provides information as of December 31, 2018 about our common stock that may be issued upon the exercise of options, warrants and rights under all of our existing equity compensation plans (including individual arrangements):
Equity Compensation Plan Information
| Plan Category | Number of securities outstanding and | Weighted-average exercise price of outstanding options, warrants and rights | Number of issuance compensation securities | |||||||||
| Equity compensation plans approved by security holders: | ||||||||||||
| 2014 Equity Incentive Plan, as amended | 1,824,869 | $ | 2.33 | 12,833 | ||||||||
| 2018 Omnibus Stock Incentive Plan | 395,999 | 6.15 | 333,836 | |||||||||
| Equity compensation plans not approved by security holders | - | - | - | |||||||||
| Total | 2,220,868 | $ | 3.01 | 346,669 | ||||||||
The other information required by this Item is incorporated by reference to the information under the section captioned “Security Ownership of Certain Beneficial Owners and Management” contained in the proxy statement.
| Item 13. | Certain Relationships and Related Transactions, and Director Independence. |
The information required by this Item is incorporated by reference to the information under the section captioned “Certain Relationships and Related-Party Transactions” and “Corporate Governance Matters” in the proxy statement.
| 69 |
| Item 14. | Principal Accounting Fees and Services. |
The information required by this Item is incorporated by reference to the information under the section captioned “Audit Committee Report” in the proxy statement.
| 70 |
| Item 15. | Exhibits, Financial Statement Schedules. |
| (a) | List of documents filed as part of this report: |
| 1. | Financial Statements: |
The financial statements of the Company and the related reports of the Company’s independent registered public accounting firm thereon have been filed under Item 8 hereof.
| 2. | Financial Statement Schedules: |
None.
| 3. | Exhibit Index |
The following is a list of exhibits filed as part of this Annual Report on Form 10-K:
| 71 |
*Management contract or other compensatory plan.
| Item 16. | Form 10-K Summary. |
None.
| 72 |
Pursuant to the requirements of Sections 13 or 15(d) of the Securities Exchange Act of 1934, the registrant has duly caused this report to be signed on its behalf by the undersigned, thereunto duly authorized.
| EYENOVIA, INC. | ||
| Date: March 27, 2019 | By: | /s/Tsontcho Ianchulev |
| Tsontcho Ianchulev | ||
| Chief Executive Officer | ||
| (Principal Executive Officer) | ||
Pursuant to the requirements of the Securities Exchange Act of 1934, this report has been signed by the following persons on behalf of the registrant and in the capacities and on the dates indicated.
| Signature | Title | Date | ||
| /s/ Tsontcho Ianchulev | Chief Executive Officer | March 27, 2019 | ||
| Tsontcho Ianchulev | (Principal Executive Officer) and Director | |||
| /s/ John Gandolfo | Chief Financial Officer | March 27, 2019 | ||
| John Gandolfo | (Principal Financial and Accounting Officer) | |||
| /s/ Fredric N. Eshelman | Chairman of the Board and Director | March 27, 2019 | ||
| Fredric N. Eshelman | ||||
| /s/ Curt H. LaBelle | Director | March 27, 2019 | ||
| Curt H. LaBelle | ||||
| /s/ Kenneth B. Lee, Jr. | Director | March 27, 2019 | ||
| Kenneth B. Lee, Jr. | ||||
| /s/ Ernest Mario | Director | March 27, 2019 | ||
| Ernest Mario | ||||
| /s/ Charles E. Mather IV | Director | March 27, 2019 | ||
| Charles E. Mather IV | ||||
| /s/ Anthony Y. Sun | Director | March 27, 2019 | ||
| Anthony Y. Sun | ||||
| /s/ Shuhei Yoshida | Director | March 27, 2019 | ||
| Shuhei Yoshida |
| 73 |
EYENOVIA, INC.
INDEX TO FINANCIAL STATEMENTS
| F-1 |
REPORT OF INDEPENDENT REGISTERED PUBLIC ACCOUNTING FIRM
To the Shareholders and Board of Directors of
Eyenovia, Inc.
Opinion on the Financial Statements
We have audited the accompanying balance sheets of Eyenovia, Inc. (the “Company”) as of December 31, 2018 and 2017, and the related statements of operations, changes in stockholders’ equity and cash flows for each of the two years in the period ended December 31, 2018, and the related notes (collectively referred to as the “financial statements”). In our opinion, the financial statements present fairly, in all material respects, the financial position of the Company as of December 31, 2018 and 2017, and the results of its operations and its cash flows for each of the two years in the period ended December 31, 2018, in conformity with accounting principles generally accepted in the United States of America.
Basis for Opinion
These financial statements are the responsibility of the Company's management. Our responsibility is to express an opinion on the Company's financial statements based on our audits. We are a public accounting firm registered with the Public Company Accounting Oversight Board (United States) ("PCAOB") and are required to be independent with respect to the Company in accordance with the U.S. federal securities laws and the applicable rules and regulations of the Securities and Exchange Commission and the PCAOB.
We conducted our audits in accordance with the standards of the PCAOB. Those standards require that we plan and perform the audits to obtain reasonable assurance about whether the financial statements are free of material misstatement, whether due to error or fraud. The Company is not required to have, nor were we engaged to perform, an audit of its internal control over financial reporting. As part of our audits we are required to obtain an understanding of internal control over financial reporting but not for the purpose of expressing an opinion on the effectiveness of the Company's internal control over financial reporting. Accordingly, we express no such opinion.
Our audits included performing procedures to assess the risks of material misstatement of the financial statements, whether due to error or fraud, and performing procedures that respond to those risks. Such procedures included examining, on a test basis, evidence regarding the amounts and disclosures in the financial statements. Our audits also included evaluating the accounting principles used and significant estimates made by management, as well as evaluating the overall presentation of the financial statements. We believe that our audits provide a reasonable basis for our opinion.
| /s/ Marcum llp |
Marcum LLP
We have served as the Company’s auditor since 2017.
New York, NY
March 27, 2019
| F-2 |
Balance Sheets
| December 31, | ||||||||
| 2018 | 2017 | |||||||
| Assets | ||||||||
| Current Assets: | ||||||||
| Cash | $ | 19,728,200 | $ | 5,249,511 | ||||
| Prepaid expenses and other current assets | 132,756 | 37,149 | ||||||
| Total Current Assets | 19,860,956 | 5,286,660 | ||||||
| Property and equipment, net | 36,738 | 27,960 | ||||||
| Deferred offering costs | - | 328,700 | ||||||
| Security deposit | 117,800 | - | ||||||
| Total Assets | $ | 20,015,494 | $ | 5,643,320 | ||||
| Liabilities and Stockholders' Equity | ||||||||
| Current Liabilities: | ||||||||
| Accounts payable | $ | 1,509,524 | $ | 246,384 | ||||
| Accrued compensation | 912,104 | - | ||||||
| Accrued expenses and other current liabilities | 677,213 | 306,263 | ||||||
| Total Current Liabilities | 3,098,841 | 552,647 | ||||||
| Deferred rent | 41,584 | - | ||||||
| Total Liabilities | 3,140,425 | 552,647 | ||||||
| Commitments and contingencies (Note 7) | ||||||||
| Stockholders' Equity: | ||||||||
| Preferred stock, $0.0001 par value, 6,000,000 shares authorized; | ||||||||
| Series A Convertible Preferred Stock, 0 and 20,000,000 shares designated as of December 31, 2018 and 2017, respectively, 0 and 2,932,431 shares issued and outstanding as of December 31, 2018 and 2017, respectively | - | 293 | ||||||
| Series A-2 Convertible Preferred Stock, 0 and 5,714,286 shares designated as of December 31, 2018 and 2017, respectively, 0 and 788,827 shares issued and outstanding as of December 31, 2018 and 2017, respectively | - | 79 | ||||||
| Series B Convertible Preferred Stock, 0 and 10,000,000 shares designated as of December 31, 2018 and 2017, respectively, 0 and 918,983 shares issued and outstanding as of December 31, 2018 and 2017, respectively | - | 92 | ||||||
| Common stock, $0.0001 par value, 90,000,000 shares authorized; 11,468,996 and 2,566,530 shares issued and outstanding as of December 31, 2018 and 2017, respectively | 1,147 | 257 | ||||||
| Additional paid-in capital | 53,388,216 | 24,351,138 | ||||||
| Accumulated deficit | (36,514,294 | ) | (19,261,186 | ) | ||||
| Total Stockholders' Equity | 16,875,069 | 5,090,673 | ||||||
| Total Liabilities and Stockholders' Equity | $ | 20,015,494 | $ | 5,643,320 | ||||
The accompanying notes are an integral part of these financial statements.
| F-3 |
Statements of Operations
| For the Years Ended | ||||||||
| December 31, | ||||||||
| 2018 | 2017 | |||||||
| Operating Expenses: | ||||||||
| Research and development | $ | 11,119,096 | $ | 3,816,732 | ||||
| General and administrative | 6,137,347 | 1,315,635 | ||||||
| Total Operating Expenses | 17,256,443 | 5,132,367 | ||||||
| Loss From Operations | (17,256,443 | ) | (5,132,367 | ) | ||||
| Other Income: | ||||||||
| Interest income | 3,335 | 2,380 | ||||||
| Net Loss | $ | (17,253,108 | ) | $ | (5,129,987 | ) | ||
| Net Loss Per Share | ||||||||
| - Basic and Diluted | $ | (1.82 | ) | $ | (2.19 | ) | ||
| Weighted Average Number of | ||||||||
| Common Shares Outstanding | ||||||||
| - Basic and Diluted | 9,476,706 | 2,344,712 | ||||||
The accompanying notes are an integral part of these financial statements.
| F-4 |
Statements of Changes in Stockholders’ Equity
For the Years Ended December 31, 2018 and 2017
| Convertible Preferred Stock | Additional | Total | ||||||||||||||||||||||||||||||||||||||||||
| Series A | Series A-2 | Series B | Common Stock | Paid-In | Accumulated | Stockholders' | ||||||||||||||||||||||||||||||||||||||
| Shares | Amount | Shares | Amount | Shares | Amount | Shares | Amount | Capital | Deficit | Equity | ||||||||||||||||||||||||||||||||||
| Balance - January 1, 2017 | 3,232,294 | $ | 323 | 788,827 | $ | 79.00 | - | $ | - | 2,266,667 | $ | 227 | $ | 17,139,651 | $ | (14,131,199 | ) | $ | 3,009,081 | |||||||||||||||||||||||||
| Issuance of warrant | - | - | - | - | - | - | - | - | 431,574 | - | 431,574 | |||||||||||||||||||||||||||||||||
| Issuance of Series B convertible preferred stock, net of issuance costs [1] | - | - | - | - | 918,983 | 92 | - | - | 6,367,601 | - | 6,367,693 | |||||||||||||||||||||||||||||||||
| Conversion of Series A convertible preferred stock into common stock | (299,863 | ) | (30 | ) | - | - | - | - | 299,863 | 30 | - | - | - | |||||||||||||||||||||||||||||||
| Stock-based compensation | - | - | - | - | - | - | - | - | 412,312 | - | 412,312 | |||||||||||||||||||||||||||||||||
| - | ||||||||||||||||||||||||||||||||||||||||||||
| Net loss | - | - | - | - | - | - | - | - | - | (5,129,987 | ) | (5,129,987 | ) | |||||||||||||||||||||||||||||||
| Balance - December 31, 2017 | 2,932,431 | 293 | 788,827 | 79 | 918,983 | 92 | 2,566,530 | 257 | 24,351,138 | (19,261,186 | ) | 5,090,673 | ||||||||||||||||||||||||||||||||
| Conversion of convertible preferred stock into common stock upon completion of initial public offering | (2,932,431 | ) | (293 | ) | (788,827 | ) | (79 | ) | (918,983 | ) | (92 | ) | 4,702,116 | 470 | (6 | ) | - | - | ||||||||||||||||||||||||||
| Issuance of common stock in initial public offering [2] | - | - | - | - | - | - | 2,730,000 | 273 | 24,547,530 | - | 24,547,803 | |||||||||||||||||||||||||||||||||
| Issuance of common stock in follow-on public offering [3] | - | - | - | - | - | - | 1,380,000 | 138 | 2,817,611 | - | 2,817,749 | |||||||||||||||||||||||||||||||||
| Exercise of warrants on a cashless basis | - | - | - | - | - | - | 61,385 | 6 | (6 | ) | - | - | ||||||||||||||||||||||||||||||||
| Exercise of stock options | - | - | - | - | - | - | 28,965 | 3 | 56,479 | - | 56,482 | |||||||||||||||||||||||||||||||||
| Stock-based compensation | - | - | - | - | - | - | - | - | 1,615,470 | - | 1,615,470 | |||||||||||||||||||||||||||||||||
| Net loss | - | - | - | - | - | - | - | - | - | (17,253,108 | ) | (17,253,108 | ) | |||||||||||||||||||||||||||||||
| Balance - December 31, 2018 | - | $ | - | - | $ | - | - | $ | - | 11,468,996 | $ | 1,147 | $ | 53,388,216 | $ | (36,514,294 | ) | $ | 16,875,069 | |||||||||||||||||||||||||
[1] Includes gross proceeds of $6,409,651, less issuance costs of $41,958.
[2] Includes gross proceeds of $27,300,000, less total issuance costs of $2,752,197.
[3] Includes gross proceeds of $3,381,000, less total issuance costs of $563,251.
The accompanying notes are an integral part of these financial statements.
| F-5 |
Statements of Cash Flows
| For the Years Ended | ||||||||
| December 31, | ||||||||
| 2018 | 2017 | |||||||
| Cash Flows From Operating Activities | ||||||||
| Net loss | $ | (17,253,108 | ) | $ | (5,129,987 | ) | ||
| Adjustments to reconcile net loss to net cash used in operating activities: | ||||||||
| Depreciation and amortization | 19,129 | 25,466 | ||||||
| Stock-based compensation | 1,615,470 | 412,312 | ||||||
| Changes in operating assets and liabilities: | ||||||||
| Prepaid expenses and other current assets | (95,607 | ) | (34,814 | ) | ||||
| Accounts payable | 1,263,140 | (55,647 | ) | |||||
| Accrued compensation | 912,104 | |||||||
| Accrued expenses and other current liabilities | 503,950 | 51,560 | ||||||
| Security deposit | (117,800 | ) | - | |||||
| Deferred rent | 41,584 | - | ||||||
| Net Cash Used In Operating Activities | (13,111,138 | ) | (4,731,110 | ) | ||||
| Cash Flows From Investing Activities | ||||||||
| Purchases of property and equipment | (27,907 | ) | (10,234 | ) | ||||
| Net Cash Used In Investing Activities | (27,907 | ) | (10,234 | ) | ||||
| Cash Flows From Financing Activities | ||||||||
| Proceeds from sale of common stock in initial public offering [1] | 25,089,000 | - | ||||||
| Payment of initial public offering issuance costs | (345,497 | ) | (195,700 | ) | ||||
| Proceeds from sale of common stock in follow-on public offering [2] | 3,084,330 | - | ||||||
| Payment of follow-on public offering issuance costs | (266,581 | ) | - | |||||
| Proceeds from exercise of stock options | 56,482 | - | ||||||
| Proceeds from sale of warrant | - | 431,574 | ||||||
| Proceeds from advances related to Series B Convertible Preferred Stock | - | 6,409,651 | ||||||
| Payment of Series B Convertible Preferred Stock issuance costs | - | (41,958 | ) | |||||
| Net Cash Provided By Financing Activities | 27,617,734 | 6,603,567 | ||||||
| Net Increase in Cash | 14,478,689 | 1,862,223 | ||||||
| Cash - Beginning of Period | 5,249,511 | 3,387,288 | ||||||
| Cash - End of Period | $ | 19,728,200 | $ | 5,249,511 | ||||
[1] Includes gross proceeds of $27,300,000, less issuance costs of $2,211,000 deducted directly from the offering proceeds.
[2] Includes gross proceeds of $3,381,000, less issuance costs of $296,670 deducted directly from the offering proceeds.
| Supplemental Disclosure of Non-Cash Financing Activities | ||||||||
| Conversion of convertible preferred stock into common stock | $ | 470 | $ | 30 | ||||
| Exercise of warrants on a cashless basis | $ | 6 | $ | - | ||||
| Accrual of deferred offering costs | $ | - | $ | 133,000 | ||||
| Reversal of previously accrued initial public offering issuance costs | $ | (133,000 | ) | $ | - | |||
| Reclassification to additional paid-in capital for initial public offering issuance costs that were previously paid | $ | (195,700 | ) | $ | - |
The accompanying notes are an integral part of these financial statements.
| F-6 |
NOTES TO FINANCIAL STATEMENTS
FOR THE YEARS ENDED DECEMBER 31, 2018 AND 2017
Note 1 – Business Organization and Nature of Operations
Eyenovia, Inc. (“Eyenovia” or the “Company”) was organized as a corporation under the laws of the State of Florida on March 12, 2014 under the name, PGP Holdings V, Inc. On May 5, 2014, PGP Holdings V, Inc. changed its name to Eyenovia, Inc. On October 6, 2014, Eyenovia, Inc. reincorporated in the State of Delaware by merging into Eyenovia, Inc., a Delaware corporation.
Eyenovia is a clinical stage ophthalmic biopharmaceutical company developing a pipeline of microdose therapeutics utilizing its patented piezo-print delivery technology, branded the OptejetTM. Eyenovia aims to achieve clinical microdosing of next-generation formulations of well-established ophthalmic pharmaceutical agents using its high-precision targeted ocular delivery system, which has the potential to replace conventional eyedropper delivery and improve safety, tolerability, patient compliance and topical delivery success for ophthalmic eye treatments. In the clinic, Optejet has demonstrated up to a 75% reduction in ocular drug and preservative exposure, with successful topical delivery that generally exceeded the efficacy of traditional eyedrop administration. Using its proprietary delivery technology, Eyenovia is developing the next generation of smart ophthalmic therapies while targeting new indications for which there are currently no drug therapies approved by the U.S. Food and Drug Administration (the “FDA”). Eyenovia’s microdose therapeutics follow the FDA-designated pharmaceutical registration and regulatory process. Its products are not classified by the FDA as medical devices or drug-device combination products.
Note 2 – Summary of Significant Accounting Policies
Liquidity and Financial Condition
The Company has not yet generated revenues or achieved profitability and expects to continue to incur cash outflows from operations. It is expected that its research and development and general and administrative expenses will continue to increase and, as a result, the Company will eventually need to generate significant product revenues to achieve profitability.
On January 29, 2018, the Company raised aggregate net proceeds of approximately $24.5 million in its initial public offering (“IPO”).
On December 21, 2018, the Company raised aggregate net proceeds of approximately $2.8 million in its follow-on public offering.
See Note 9 – Stockholders’ Equity – Public Offerings for additional details.
The Company believes its current cash on hand is sufficient to meet its operating and capital requirements for at least the next twelve months from the date these financial statements are issued. Thereafter, the Company may need to raise further capital, through the sale of additional equity or debt securities or otherwise, to support its future operations. The Company’s operating needs include the planned costs to operate its business, including amounts required to fund working capital and capital expenditures. The Company’s future capital requirements and the adequacy of its available funds will depend on many factors, including the Company’s ability to successfully commercialize its products and services, competing technological and market developments, and the need to enter into collaborations with other companies or acquire other companies or technologies to enhance or complement our product and service offerings. If the Company is unable to secure additional capital, it may be required to curtail its research and development initiatives and take additional measures to reduce costs in order to conserve its cash.
| F-7 |
EYENOVIA, INC.
NOTES TO FINANCIAL STATEMENTS
FOR THE YEARS ENDED DECEMBER 31, 2018 AND 2017
Note 2 – Summary of Significant Accounting Policies - Continued
Use of Estimates
Preparation of financial statements in conformity with accounting principles generally accepted in the United States of America (“U.S. GAAP”) requires management to make estimates, judgments and assumptions that affect the amounts reported in the financial statements and the amounts disclosed in the related notes to the financial statements. The Company bases its estimates and judgments on historical experience and on various other assumptions that it believes are reasonable under the circumstances. The amounts of assets and liabilities reported in the Company’s balance sheets and the amounts of expenses reported for each of the periods presented are affected by estimates and assumptions, which are used for, but not limited to, fair value calculations for equity securities, establishment of valuation allowances for deferred tax assets, stock-based compensation, the recoverability and useful lives of long-lived assets and the recovery of deferred costs. Certain of the Company’s estimates could be affected by external conditions, including those unique to the Company and general economic conditions. It is reasonably possible that actual results could differ from those estimates.
See Note 2 - Summary of Significant Accounting Policies — Stock-Based Compensation for additional discussion of the use of estimates in estimating the fair value of the Company’s common stock.
Cash
The Company considers all highly liquid investments with an original maturity of three months or less to be cash equivalents in the financial statements. As of December 31, 2018 and 2017, the Company had no cash equivalents.
The Company has cash deposits in several financial institutions which, at times, may be in excess of Federal Deposit Insurance Corporation (“FDIC”) insurance limits. The Company has not experienced losses in such accounts and periodically evaluates the creditworthiness of its financial institutions. As of December 31, 2018 and 2017, the Company had cash balances in excess of FDIC insurance limits of $19,478,200 and $4,999,511, respectively.
Property and Equipment, Net
Property and equipment are stated at cost, net of accumulated depreciation, which is recorded commencing at the in-service date using the straight-line method at rates sufficient to charge the cost of depreciable assets to operations over their estimated useful lives, which range from 2 to 5 years. Leasehold improvements are amortized over the lesser of (a) the useful life of the asset; or (b) the remaining lease term. Maintenance and repairs are charged to operations as incurred. The Company capitalizes costs attributable to the betterment of property and equipment when such betterment extends the useful life of the assets.
Impairment of Long-lived Assets
The Company reviews for the impairment of long-lived assets whenever events or changes in circumstances indicate that the carrying amount of an asset might not be recoverable. An impairment would be recognized when estimated future cash flows expected to result from the use of the asset and its eventual disposition are less than its carrying amount. The Company did not record any impairment losses during the years ended December 31, 2018 and 2017.
Deferred Offering Costs
Deferred offering costs, which primarily consist of direct, incremental professional fees incurred in connection with the Company’s IPO as well as other private equity offerings are capitalized as non-current assets on the balance sheet. Upon the closing of the offering, the deferred offering costs are offset against the offering proceeds.
Preferred Stock
The Company applies the accounting standards for distinguishing liabilities from equity when determining the classification and measurement of its preferred stock. Preferred shares subject to mandatory redemption are classified as liability instruments and are measured at fair value. Conditionally redeemable preferred shares (including preferred shares that feature redemption rights that are either within the control of the holder or subject to redemption upon the occurrence of uncertain events not solely within the Company’s control) are classified as temporary equity. At all other times, preferred shares are classified as stockholders’ equity.
| F-8 |
EYENOVIA, INC.
NOTES TO FINANCIAL STATEMENTS
FOR THE YEARS ENDED DECEMBER 31, 2018 AND 2017
Note 2 – Summary of Significant Accounting Policies – Continued
Convertible Instruments
The Company evaluates its convertible instruments to determine if those contracts or embedded components of those contracts qualify as derivative financial instruments to be separately accounted for in accordance with Topic 815 “Derivatives and Hedging” of the Financial Accounting Standards Board ("FASB") Accounting Standards Codification (“ASC”). The accounting treatment of derivative financial instruments requires that the Company record embedded conversion options and any related freestanding instruments at their fair values as of the inception date of the agreement and at fair value as of each subsequent balance sheet date. Any change in fair value is recorded as non-operating, non-cash income or expense for each reporting period at each balance sheet date. The Company reassesses the classification of its derivative instruments at each balance sheet date. If the classification changes as a result of events during the period, the contract is reclassified as of the date of the event that caused the reclassification. Embedded conversion options and any related freestanding instruments are recorded as a discount to the host instrument.
If the instrument is determined to be a derivative liability, the Company then evaluates for the existence of a beneficial conversion feature by comparing the market price of the Company’s common stock as of the commitment date to the effective conversion price of the instrument.
Fair Value of Financial Instruments
The Company measures the fair value of financial assets and liabilities based on ASC 820 “Fair Value Measurements and Disclosures” (“ASC 820”), which defines fair value, establishes a framework for measuring fair value, and expands disclosures about fair value measurements.
ASC 820 defines fair value as the exchange price that would be received for an asset or paid to transfer a liability (an exit price) in the principal or most advantageous market for the asset or liability in an orderly transaction between market participants on the measurement date. ASC 820 also establishes a fair value hierarchy, which requires an entity to maximize the use of observable inputs and minimize the use of unobservable inputs when measuring fair value. ASC 820 describes three levels of inputs that may be used to measure fair value:
Level 1 — quoted prices in active markets for identical assets or liabilities;
Level 2 — quoted prices for similar assets and liabilities in active markets or inputs that are observable; and
Level 3 — inputs that are unobservable (for example, cash flow modeling inputs based on assumptions).
The carrying amounts of the Company’s financial instruments, such as cash, accounts payable, accrued expenses and other current liabilities approximate fair values due to the short-term nature of these instruments.
Income Taxes
The Company recognizes deferred tax assets and liabilities for the expected future tax consequences of items that have been included or excluded in the financial statements or tax returns. Deferred tax assets and liabilities are determined on the basis of the difference between the tax basis of assets and liabilities and their respective financial reporting amounts (“temporary differences”) at enacted tax rates in effect for the years in which the temporary differences are expected to reverse.
The Company utilizes a recognition threshold and measurement process for financial statement recognition and measurement of a tax position taken or expected to be taken in a tax return.
Management has evaluated and concluded that there were no material uncertain tax positions requiring recognition in the Company’s financial statements as of December 31, 2018 and 2017. The Company does not expect any significant changes in its unrecognized tax benefits within twelve months of the reporting date.
The Company’s policy is to classify assessments, if any, for tax-related interest as interest expense and penalties as general and administrative expenses in the statements of operations. The Company did not recognize any such penalties or interest during 2017 and 2018.
| F-9 |
EYENOVIA, INC.
NOTES TO FINANCIAL STATEMENTS
FOR THE YEARS ENDED DECEMBER 31, 2018 AND 2017
Note 2 – Summary of Significant Accounting Policies - Continued
Research and Development
Research and development expenses are charged to operations as incurred. The Company records prepaid expenses on its balance sheet for the payment of research and development expenses in advance of services being provided.
Stock-Based Compensation
During the year ended December 31, 2017, the Company obtained a third-party 409A valuation of its common stock, which was also considered in management’s estimation of the value of the equity instruments issued during that period. This third-party valuation was done in accordance with the guidance outlined in the American Institute of Certified Public Accountants’ Accounting and Valuation Guide, Valuation of Privately-Held-Company Equity Securities Issued as Compensation. The estimates used by management are considered highly complex and subjective. During the year ended December 31, 2018, the Company used the prices quoted on the Nasdaq Capital Market to determine the fair value of its common stock.
The Company measures the cost of services received in exchange for an award of equity instruments based on the fair value of the award. For employees, the fair value of the award is measured on the grant date and for non-employees, the fair value of the award is generally re-measured on vesting dates and interim financial reporting dates until the service period is complete. The fair value amount is then recognized over the period during which services are required to be provided in exchange for the award, usually the vesting period. Awards granted to directors are treated on the same basis as awards granted to employees. Upon the exercise of an option, the Company issues new shares of common stock out of its authorized shares.
Net Loss Per Common Share
Basic net loss per common share is computed by dividing net loss by the weighted average number of common shares outstanding during the period. Diluted loss per share reflects the potential dilution that could occur if securities or other instruments to issue common stock were exercised or converted into common stock.
The following securities are excluded from the calculation of weighted average dilutive common shares because their inclusion would have been anti-dilutive:
| December 31, | ||||||||
| 2018 | 2017 | |||||||
| Options | 2,220,868 | 1,684,416 | ||||||
| Restricted Stock Units | 20,165 | - | ||||||
| Series A Convertible Preferred Stock | - | 2,932,431 | ||||||
| Series A-2 Convertible Preferred Stock | - | 788,827 | ||||||
| Series B Convertible Preferred Stock | - | 918,983 | ||||||
| Warrant | - | 61,875 | ||||||
| Total potentially dilutive shares | 2,241,033 | 6,386,532 | ||||||
Subsequent Events
The Company has evaluated subsequent events through the date which the financial statements were issued. Based upon the evaluation, the Company did not identify any recognized or non-recognized subsequent events that would have required adjustment or disclosure in the financial statements, except as disclosed.
| F-10 |
EYENOVIA, INC.
NOTES TO FINANCIAL STATEMENTS
FOR THE YEARS ENDED DECEMBER 31, 2018 AND 2017
Note 2 – Summary of Significant Accounting Policies - Continued
Recently Issued Accounting Pronouncements
In February 2016, the FASB issued Accounting Standards Update (“ASU”) 2016-02, “Leases (Topic 842)” (“ASU 2016-02”). ASU 2016-02 requires that a lessee recognize the assets and liabilities that arise from operating leases. A lessee should recognize in the statement of financial position a liability to make lease payments (the lease liability) and a right-of-use asset representing its right to use the underlying asset for the lease term. For leases with a term of 12 months or less, a lessee is permitted to make an accounting policy election by class of underlying asset not to recognize lease assets and lease liabilities. In transition, lessees and lessors are required to recognize and measure leases at the beginning of the earliest period presented using a modified retrospective approach. This amendment will be effective for fiscal years beginning after December 15, 2019, including interim periods within those fiscal years. The FASB issued ASU No. 2018-10 “Codification Improvements to Topic 842, Leases” and ASU No. 2018-11 “Leases (Topic 842) Targeted Improvements” in July 2018, and ASU No. 2018-20 “Leases (Topic 842) - Narrow Scope Improvements for Lessors” in December 2018. ASU 2018-10 and ASU 2018-20 provide certain amendments that affect narrow aspects of the guidance issued in ASU 2016-02. ASU 2018-11 allows all entities adopting ASU 2016-02 to choose an additional (and optional) transition method of adoption, under which an entity initially applies the new leases standard at the adoption date and recognizes a cumulative-effect adjustment to the opening balance of retained earnings in the period of adoption. The Company is currently evaluating ASU 2016-02 and its impact on its financial position, results of operations, and cash flows.
In August 2016, the FASB issued ASU 2016-15, “Statement of Cash Flows (Topic 230) Classification of Certain Cash Receipts and Cash Payments,” (“ASU 2016-15”). The new standard will make eight targeted changes to how cash receipts and cash payments are presented and classified in the statement of cash flows. The new standard is effective for fiscal years beginning after December 15, 2018. The new standard requires adoption on a retrospective basis unless it is impracticable to apply, in which case the Company would be required to apply the amendments prospectively as of the earliest date practicable. The Company does not expect the adoption of ASU 2016-15 will have a material impact on its financial position, results of operations, and cash flows.
In July 2017, the FASB issued ASU No. 2017-11, “Earnings Per Share (Topic 260) and Derivatives and Hedging (Topic 815)- Accounting for Certain Financial Instruments with Down Round Features” (“ASU 2017-11”). Equity-linked instruments, such as warrants and convertible instruments may contain down round features that result in the strike price being reduced on the basis of the pricing of future equity offerings. Under ASU 2017-11, a down round feature will no longer require a freestanding equity-linked instrument (or embedded conversion option) to be classified as a liability that is remeasured at fair value through the income statement (i.e. marked-to-market). However, other features of the equity-linked instrument (or embedded conversion option) must still be evaluated to determine whether liability or equity classification is appropriate. Equity classified instruments are not marked-to-market. For earnings per share ("EPS") reporting, the ASU requires companies to recognize the effect of the down round feature only when it is triggered by treating it as a dividend and as a reduction of income available to common shareholders in basic EPS. The amendments in this ASU are effective for all entities for fiscal years, and interim periods within those fiscal years, beginning after December 15, 2019. Early adoption is permitted, including adoption in any interim period. The Company does not expect the adoption of ASU 2017-11 will have a material impact on its financial position, results of operations, and cash flows.
In June 2018, the FASB issued ASU No. 2018-07, “Compensation — Stock Compensation (Topic 718),” (“ASU 2018-07”). ASU 2018-07 is intended to reduce cost and complexity of financial reporting for non-employee share-based payments. Currently, the accounting requirements for non-employee and employee share-based payments are significantly different. ASU 2018-07 expands the scope of Topic 718, which currently only includes share-based payments to employees, to include share-based payments to non-employees for goods or services. Consequently, the accounting for share-based payments to non-employees and employees will be substantially aligned. This ASU supersedes Subtopic 505-50, “Equity — Equity-Based Payments to Nonemployees.” The amendments to ASU 2018 - 07 are effective for fiscal years beginning after December 15, 2019, and interim periods within fiscal years beginning after December 15, 2020. Early adoption is permitted, but no earlier than a company’s adoption date of ASU No. 2014-09, (Topic 606), “Revenue from Contracts with Customers.” The Company is currently evaluating ASU 2018-07 and its impact on its financial position, results of operations and cash flows.
| F-11 |
EYENOVIA, INC.
NOTES TO FINANCIAL STATEMENTS
FOR THE YEARS ENDED DECEMBER 31, 2018 AND 2017
Note 2 – Summary of Significant Accounting Policies - Continued
Recently Issued Accounting Pronouncements – Continued
In August 2018, the FASB issued ASU No. 2018-13, “Fair Value Measurement (Topic 820): Disclosure Framework—Changes to the Disclosure Requirements for Fair Value Measurement” (“ASU 2018-13”). The amendments in ASU 2018-13 modify the disclosure requirements on fair value measurements based on the concepts in the FASB Concepts Statement, including the consideration of costs and benefits. The amendments on changes in unrealized gains and losses, the range and weighted average of significant unobservable inputs used to develop Level 3 fair value measurements, and the narrative description of measurement uncertainty should be applied prospectively for only the most recent interim or annual period presented in the initial fiscal year of adoption. All other amendments should be applied retrospectively to all periods presented upon their effective date. The amendments are effective for fiscal years beginning after December 15, 2020. Early adoption is permitted, including adoption in an interim period. The Company is currently evaluating ASU 2018-13 and its impact on its financial position, results of operations and cash flows.
Recently Adopted Accounting Pronouncements
In May 2017, the FASB issued ASU No. 2017-09, “Compensation—Stock Compensation (Topic 718): Scope of Modification Accounting” (“ASU 2017-09”). ASU 2017-09 provides clarity on the accounting for modifications of stock-based awards. ASU 2017-09 requires adoption on a prospective basis in the annual and interim periods for our fiscal year ending after December 15, 2017 for share-based payment awards modified on or after the adoption date. The Company adopted this standard on January 1, 2018 and its adoption did not have a material impact on the Company’s financial position, results of operations or cash flows.
Note 3 – Prepaid Expenses and Other Current Assets
As of December 31, 2018 and 2017, prepaid expenses and other current assets consisted of the following:
| December 31, | ||||||||
| 2018 | 2017 | |||||||
| Prepaid rent and security deposit | $ | 75,729 | $ | - | ||||
| Prepaid insurance expenses | 39,465 | 384 | ||||||
| Prepaid patent expenses | 10,562 | 7,833 | ||||||
| Prepaid conference expenses | 7,000 | - | ||||||
| Prepaid research and development expenses | - | 28,932 | ||||||
| Total prepaid expenses and other current assets | $ | 132,756 | $ | 37,149 | ||||
Note 4 – Property and Equipment, Net
As of December 31, 2018 and 2017, property and equipment consisted of the following:
| December 31, | ||||||||
| 2018 | 2017 | |||||||
| Equipment | $ | 62,886 | $ | 34,979 | ||||
| Leasehold improvements | 40,000 | 40,000 | ||||||
| 102,886 | 74,979 | |||||||
| Less: accumulated depreciation and amortization | (66,148 | ) | (47,019 | ) | ||||
| Property and equipment, net | $ | 36,738 | $ | 27,960 | ||||
Depreciation and amortization expense was $19,129 and $25,466 for the years ended December 31, 2018 and 2017, respectively, of which $17,966 and $25,466 was included within research and development expenses and $1,163 and $0 was included in general and administrative expenses in the statements of operations for the years ended December 31, 2018 and 2017, respectively.
| F-12 |
EYENOVIA, INC.
NOTES TO FINANCIAL STATEMENTS
FOR THE YEARS ENDED DECEMBER 31, 2018 AND 2017
Note 5 – Accrued Expenses and Other Current Liabilities
As of December 31, 2018 and 2017, accrued expenses and other current liabilities consisted of the following:
| December 31, | ||||||||
| 2018 | 2017 | |||||||
| Accrued research and development expenses | 375,204 | 120,455 | ||||||
| Accrued legal expenses | 168,650 | - | ||||||
| Accrued professional services | 111,728 | 41,831 | ||||||
| Other | 12,165 | 1,134 | ||||||
| Credit card payable | 9,466 | 9,843 | ||||||
| Accrued offering costs | - | 133,000 | ||||||
| Total accrued expenses and other current liabilities | $ | 677,213 | $ | 306,263 | ||||
Note 6 – Accrued Compensation
As of December 31, 2018 and 2017, accrued expenses and other current liabilities consisted of the following:
| December 31, | ||||||||
| 2018 | 2017 | |||||||
| Accrued bonus expenses | $ | 694,490 | $ | - | ||||
| Accrued payroll expenses | 217,614 | - | ||||||
| Total accrued expenses and other current liabilities | $ | 912,104 | $ | - | ||||
Note 7 – Income Taxes
The income tax (provision) benefit consists of the following:
| For The Year Ended | ||||||||
| December 31, | ||||||||
| 2018 | 2017 | |||||||
| Federal: | ||||||||
| Current | $ | - | $ | - | ||||
| Deferred | 3,516,722 | 235,473 | ||||||
| State and local: | ||||||||
| Current | - | - | ||||||
| Deferred | 47,238 | 80,301 | ||||||
| 3,563,960 | 315,774 | |||||||
| Change in valuation allowance | (3,563,960 | ) | (315,774 | ) | ||||
| Income tax (provision) benefit | $ | - | $ | - | ||||
A reconciliation of the statutory federal income tax rate to the Company’s effective tax rate is as follows:
| For The Years Ended | ||||||||
| December 31, | ||||||||
| 2018 | 2017 | |||||||
| Tax benefit at federal statutory rate | 21.0 | % | 34.0 | % | ||||
| State income taxes, net of federal benefit | 0.3 | % | 4.0 | % | ||||
| Permanent differences | (0.8 | )% | 0.0 | % | ||||
| Research and development credits | 2.8 | % | 6.3 | % | ||||
| Prior period adjustments and other | (2.6 | )% | (8.1 | )% | ||||
| Effect of tax rate changes | 0.0 | % | (30.0 | )% | ||||
| Change in valuation allowance | (20.7 | )% | (6.2 | )% | ||||
| Effective income tax rate | 0.0 | % | 0.0 | % | ||||
| F-13 |
EYENOVIA, INC.
NOTES TO FINANCIAL STATEMENTS
FOR THE YEARS ENDED DECEMBER 31, 2018 AND 2017
Note 7 – Income Taxes - Continued
The tax effects of temporary differences that give rise to deferred tax assets and liabilities are presented below:
| December 31, | ||||||||
| 2018 | 2017 | |||||||
| Deferred Tax Assets: | ||||||||
| Net operating loss carryforwards | $ | 5,453,854 | $ | 2,588,641 | ||||
| Stock-based compensation | 616,207 | 347,977 | ||||||
| Research & development tax credits | 1,008,443 | 526,134 | ||||||
| Property & equipment | 2,486 | - | ||||||
| Intangible assets | 310,230 | 364,508 | ||||||
| Gross deferred tax assets | 7,391,220 | 3,827,260 | ||||||
| Valuation allowance | (7,391,220 | ) | (3,827,260 | ) | ||||
| Deferred tax asset, net of valuation allowance | $ | - | $ | - | ||||
| Changes in valuation allowance | $ | (3,563,960 | ) | $ | (315,774 | ) | ||
The Company assesses the likelihood that deferred tax assets will be realized. To the extent that realization is not likely, a valuation allowance is established. Based upon the Company’s history of losses since inception, management believes that it is more likely than not that future benefits of deferred tax assets will not be realized.
At December 31, 2018, we had federal net operating loss carryforwards of approximately $25.6 million, of which, $14.8 million will never expire and $10.8 million will expire at various dates from 2034 to 2038. At December 31, 2018, the Company estimates that it has approximately $500,000 of New York State net operating losses that may be available to offset future taxable income. In accordance with Section 382 of the Internal Revenue Code, the usage of the Company’s net operating loss carryforwards could become subject to annual limitations if there are greater than 50% ownership changes.
The Company files income tax returns in the U.S. federal jurisdiction, the State of New York and the State of Florida (where the Company filed its final return in 2015), which remain subject to examination by the various taxing authorities beginning with the tax year ended December 31, 2015.
The Tax Cuts and Jobs Act (the "Act") was enacted in December 2017. Among other things, the primary provision of Tax Reform impacting the Company is the reduction to the U.S. corporate income tax rate from 35% to 21%. The change in tax law required the Company to remeasure existing net deferred tax assets using the lower rate in the period of enactment resulting in an income tax expense of approximately $1.5 million which is fully offset by the corresponding tax benefit of $1.5 million from the reduction in the valuation allowance in the year ended December 31, 2017. There were no specific impacts of Tax Reform that could not be reasonably estimated which the Company accounted for under the prior tax law.
| F-14 |
EYENOVIA, INC.
NOTES TO FINANCIAL STATEMENTS
FOR THE YEARS ENDED DECEMBER 31, 2018 AND 2017
Note 8 – Commitments and Contingencies
Operating Leases
On August 8, 2018, the Company entered into a lease agreement to lease approximately 3,800 square feet of office space in New York, NY. The monthly base rent ranges from $19,633 to $22,486 per month over the term of the lease for a total base rent lease commitment of approximately $1,236,000. The lease expires on September 30, 2023. The security deposit is approximately $118,000.
Future minimum payments under this operating lease agreement are as follows as:
| For the Year Ending | ||||
| December 31, | Minimum Lease Payments | |||
| 2019 | $ | 238,300 | ||
| 2020 | 244,853 | |||
| 2021 | 251,586 | |||
| 2022 | 258,505 | |||
| 2023 | 198,157 | |||
| $ | 1,191,401 | |||
See Note 8 – Related Party Transactions – Lease Agreements for details of a lease agreement with a related party.
Litigations, Claims and Assessments
In the normal course of business, the Company may be involved in legal proceedings, claims and assessments arising in the ordinary course of business. The Company records legal costs associated with loss contingencies as incurred and accrues for all probable and estimable settlements.
The Company, its Chief Executive Officer and members of its Board of Directors were named as defendants in a legal proceeding filed in the United States District Court for the District of New Jersey on September 2, 2014 in connection with the Company’s Asset Purchase Agreement with Corinthian Ophthalmic, Inc. (“Corinthian”). A shareholder of Corinthian alleged a fraudulent transfer and sought to recover the purchase price of its Corinthian shares and other damages in aggregate amount of approximately $1.1 million. The court conducted a pretrial conference on January 22, 2018 and entered a final pretrial order on January 23, 2018. On October 29, 2018, the parties entered into a Settlement Agreement pursuant to which the defendants agreed to pay the Corinthian shareholder $600,000 in exchange for the release of all related claims. While the Company is indemnified by Corinthian and Corinthian's applicable insurance policy provides coverage of $10 million, in an effort to avoid the additional legal costs and other resources required with a trial, the Company contributed $150,000 of the settlement amount (the remaining $450,000 was paid by Corinthian's insurance carrier), which was paid on October 29, 2018.
Note 9 – Related-Party Transactions
Consulting Agreements
The Company’s Chief Executive Officer and another member of its Board of Directors are partners in Private Medical Equity, Inc. (“PME”). The Company and PME were parties to a consulting agreement dated November 4, 2014 that provided for the payment of $33,200 per month to PME in consulting fees for general management and strategy services. Any time spent by PME in excess of the specified amount is billed separately. During the year ended December 31, 2017, the Company incurred approximately $329,400 related to the agreement, of which, $176,344 was included within research and development expenses and $152,656 was included within general and administrative expenses on the statements of operations. On August 1, 2017, the agreement was terminated and the Company’s Chief Executive Officer became employed full time by the Company. The Board member now invoices the Company through a separate consulting agreement dated July 6, 2017 that is discussed below.
A company in which a member of the Company’s Board of Directors is part owner is a party to a consulting agreement with the Company dated July 6, 2017 that provides for the payment of $9,567 per month, and $250 per hour for any additional work, for advisory services performed by such director. The Company incurred expenses of $162,929 and $85,835 for the years ended December 31, 2018 and 2017, respectively, related to the agreement which was included within general and administrative expenses on the statements of operations.
| F-15 |
EYENOVIA, INC.
NOTES TO FINANCIAL STATEMENTS
FOR THE YEARS ENDED DECEMBER 31, 2018 AND 2017
Note 9 – Related Party Transactions - Continued
Lease Agreements
The Company paid $3,000 and $4,000 per month as of July 2016 and January 2018, respectively, to a company controlled by a member of its Board of Directors for office space in New York, NY for its Chief Executive Officer. The Company left the space on August 31, 2018. The Company’s rent expense for this space amounted to $32,000 and $36,000 for the years ended December 31, 2018 and 2017, respectively, related to the office space, which was included within general and administrative expenses on the statements of operations.
The Company’s Vice President of Research and Development and Manufacturing (“VP of R&D”) owns a company that entered into a lease agreement with the Company on September 15, 2016 to lease 953 square feet of space located in Reno, Nevada with respect to its research and development activities. The initial monthly base rent was $3,895 per month over the term of the lease and the security deposit was $3,895. On September 15, 2018, the Company amended the lease agreement to extend it until September 14, 2020 and increase the monthly base rent and security deposit to $4,012. The Company made $40,000 of leasehold improvements related to this lease which are included on the balance sheet. The Company’s rent expense for this space amounted to $47,270 and $45,678 for the years ended December 31, 2018 and 2017, respectively.
Research and Development Activities
On July 6, 2017, the Company entered into an engagement letter with its VP of R&D. Pursuant to the terms of the engagement letter, starting on August 1, 2017, the VP of R&D was to provide service to the Company as a non-employee on a part-time basis in exchange for $9,167 per month and $175 per hour for any additional work. On July 7, 2017, the VP of R&D was granted options to purchase 100,264 shares of common stock at an exercise price of $1.95 per share, the fair value as of that date, that vest in equal monthly installments over 36 months starting from the date of grant. The options had a grant date fair value of $173,900. On August 16, 2017, the VP of R&D changed from a non-employee to an employee of the Company, but remained employed on a part-time basis at the same compensation rate. During 2018, the VP of R&D’s salary was increased to $165,000 per year in connection with the increase from two (2) to three (3) days of work per week. The Company recognized $182,275 and $27,500 of compensation expense related to the VP of R&D’s salary during the years ended December 31, 2018 and 2017, respectively.
The VP of R&D is the sole owner and President of a company that performs contract engineering services for the Company. During the years ended December 31, 2018 and 2017, the Company recognized research and development expense of $863,555 and $1,155,000, respectively, related to services provided by such vendor. As of December 31, 2018 and 2017, the Company had a liability of $100,667 and $94,998, respectively, to the vendor and a liability of $0 and $9,906, respectively, related to expenses incurred by the VP of R&D.
During 2015, the Company entered into a license agreement with Senju Pharmaceuticals Co., Ltd. (“Senju”) whereby the Company agreed to grant to Senju an exclusive, royalty-bearing license for its micro-dose product candidates for Asia to sublicense, develop, make, have made, manufacture, use, import, market, sell, and otherwise distribute the micro-dose product candidates. In consideration for the license, Senju agreed to pay to Eyenovia five percent (5%) royalties for the term of the license agreement. The agreement shall continue in full force and effect, on a country-by-country basis, until the latest to occur of: (i) the tenth (10th) anniversary of the first commercial sale of a micro-dose product candidate in Asia; or (ii) the expiration of the licensed patents. As of the date of this filing, there had been no commercial sales of a micro-dose product candidate in Asia, so no royalties had been earned. Senju is owned by the family of a member of the Company’s Board of Directors and both beneficially own greater than 5% of the Company’s common stock.
Note 10 – Stockholders’ Equity
Reverse Stock Split
Effective January 8, 2018, pursuant to authority granted by the stockholders of the Company, the Company implemented a 1-for-3.75 reverse split of the Company’s issued and outstanding common stock and preferred stock (the “Reverse Split”). The number of authorized shares remained unchanged. All share and per share information has been retroactively adjusted to reflect the Reverse Split for all periods presented, unless otherwise indicated.
| F-16 |
EYENOVIA, INC.
NOTES TO FINANCIAL STATEMENTS
FOR THE YEARS ENDED DECEMBER 31, 2018 AND 2017
Note 10 – Stockholders’ Equity - Continued
Authorized Capital
The Company is authorized to issue 90,000,000 shares of common stock, par value of $0.0001 per share, and 6,000,000 shares of preferred stock, par value of $0.0001 per share. The holders of the Company’s common stock are entitled to one vote per share. The Board of Directors is empowered, without stockholder approval, to issue preferred stock with dividend, liquidation, redemption, voting or other rights.
Equity Incentive Plans
On January 5, 2018, the Company’s Board of Directors and stockholders approved an amendment to the Company’s 2014 Equity Incentive Plan (“2014 Plan”) to increase the number of shares of common stock authorized under the 2014 Plan from 1,733,333 shares to 1,866,667 shares. As of December 31, 2018, there were 12,833 shares available for future issuance under the 2014 Plan.
On March 6, 2018, the Company’s Board of Directors adopted the 2018 Omnibus Stock Incentive Plan (“2018 Plan”), subject to stockholder approval. The 2018 Plan provides for the issuance of incentive stock options, nonstatutory stock options, rights to purchase common stock, stock appreciation rights, restricted stock and restricted stock units (“RSUs”) to employees, directors and consultants of the Company and its affiliates. The 2018 Plan was approved by Company stockholders at its annual meeting of stockholders on June 11, 2018. The 2018 Plan terminates on June 11, 2028. The 2018 Plan requires the exercise price of stock options to be greater than or equal to the fair value of the Company’s common stock on the date of grant. There are 750,000 shares of common stock authorized under the 2018 Plan. As of December 31, 2018, there were 333,836 shares available for future issuance under the 2018 Plan.
Public Offerings
On January 29, 2018, the Company consummated its IPO of 2,730,000 shares of its common stock at an offering price of $10.00 per share, generating $27.3 million and $24.5 million in gross and net proceeds, respectively. Underwriting discounts, commissions and other offering expenses were approximately $2.8 million, which were recorded as a reduction of additional paid-in capital.
On December 21, 2018, the Company consummated a follow-on public offering of 1,380,000 shares of its common stock at an offering price of $2.45 per share, generating $3.4 million and $2.8 million in gross and net proceeds, respectively. Underwriting discounts, commissions and other offering expenses were approximately $0.6 million, which were recorded as a reduction of additional paid-in capital.
Series A and Series A-2 Convertible Preferred Stock
On July 6, 2017, the Company’s Board of Directors adopted, and the Company’s stockholders approved, the Second Amendment to the Company’s Certificate of Incorporation (the “Second Amendment”). Pursuant to the Second Amendment, in the event that any holder of shares of Series A Convertible Preferred Stock or Series A-2 Convertible Preferred Stock (collectively, the “Series A/A-2 Preferred Stock”) did not participate in a subsequent private financing (as defined in the Second Amendment) by purchasing in the aggregate, in such subsequent financing, at least 75% of such holder’s pro rata amount, then each share of Series A/A-2 Preferred Stock held by such holder would automatically be converted into common stock concurrently with the consummation of such subsequent financing. Such conversion is referred to as a “Special Mandatory Conversion.”
On September 27, 2017, in connection with the sale of Series B Convertible Preferred Stock, holders of an aggregate of 299,863 shares of Series A Convertible Preferred Stock did not participate in such financing by purchasing at least 75% of such holder’s pro rata amount. As a result, the Special Mandatory Conversion of the Series A/A-2 Preferred Stock was triggered and, accordingly, such shares of Series A Convertible Preferred stock were automatically converted into an aggregate of 299,863 shares of common stock.
The preferred stock did not contain a redemption provision and an overall analysis of its features performed by the Company determined that it was more akin to equity and, therefore, it has been classified within stockholders’ equity on the balance sheet. While the embedded conversion option (“ECO”) was subject to an anti-dilution price adjustment, since the ECO was clearly and closely related to the equity host, it was not required to be bifurcated and accounted for as a derivative liability under ASC 815. The Company determined that the preferred stock did not contain a beneficial conversion feature because the conversion price exceeded the estimated fair value of the Company’s common stock as of the commitment date.
| F-17 |
EYENOVIA, INC.
NOTES TO FINANCIAL STATEMENTS
FOR THE YEARS ENDED DECEMBER 31, 2018 AND 2017
Note 10 – Stockholders’ Equity – Continued
Series A and Series A-2 Convertible Preferred Stock – Continued
The Series A and Series A-2 Convertible Preferred Stock was convertible, at the option of the holder, at any time into shares of common stock on a one-for-one basis. In the event of any issuances by the Company for less than the in-force conversion price, the preferred stock conversion price would be reduced on a weighted average basis. Each share of preferred stock was automatically convertible into shares of common stock at the then effective conversion price: (i) immediately prior to the closing of a firm commitment underwritten initial public offering provided that (A) the aggregate offering price, net of underwriters’ discounts and expenses, was at least $2.00 per share of common stock and (B) the aggregate proceeds of such offering were not less than $20,000,000; or (ii) the date specified by written consent or agreement of the holders of at least 75% of the then outstanding shares of preferred stock. All of the Series A and Series A-2 Convertible Preferred Stock converted immediately prior to the Company’s IPO. See Note 9 – Stockholders’ Equity – Conversion of Preferred Stock for additional details.
Series B Convertible Preferred Stock
During the year ended December 31, 2017, the Company sold an aggregate of 918,983 shares of its Series B Convertible Preferred Stock to investors at a price of $6.98 per share for aggregate gross proceeds of $6,409,651. The Company incurred $41,958 of legal costs in connection with the sale, such that the aggregate net proceeds from the sale were $6,367,693.
On November 9, 2017, the Board adopted resolutions ratifying each of the issuances of Series B Convertible Preferred Stock, which were then approved by the Company’s shareholders. On November 13, 2017, the Company filed a certificate of validation with the Delaware Secretary of State in respect of such ratifications, such that, as of that date, the Series B Convertible Preferred Stock was duly authorized, validly issued, fully paid and nonassessable.
The Series B Convertible Preferred Stock was convertible, at the option of the holder, at any time into shares of common stock on a one-for-one basis, subject to certain adjustments. In the event of any issuances by the Company for less than the in-force conversion price, the Series B Convertible Preferred Stock conversion price would be reduced on a weighted average basis. Each share of Series B Convertible Preferred Stock was automatically convertible into shares of common stock at the then effective conversion price: (i) immediately prior to the closing of a firm commitment underwritten initial public offering provided that (A) the aggregate offering price, net of underwriters' discounts and expenses, is at least $2.00 per share of common stock and (B) the aggregate proceeds of such offering are not less than $20,000,000; or (ii) the date specified by written consent or agreement of the holders of at least 75% of the then outstanding shares of preferred stock. All of the Series B Convertible Preferred Stock converted immediately prior to the Company’s IPO. See Note 9 – Stockholders’ Equity – Conversion of Preferred Stock for additional details.
The Series B Convertible Preferred did not contain a redemption provision and an overall analysis of its features performed by the Company determined that it was more akin to equity and therefore, has been classified within stockholders’ equity on the balance sheet. While the embedded conversion option (“ECO”) was subject to an anti-dilution price adjustment, since the ECO was clearly and closely related to the equity host, it was not required to be bifurcated and accounted for as a derivative liability under ASC 815. The Company determined that the Series B Convertible Preferred did not contain a beneficial conversion feature, since the conversion price exceeded the estimated fair value of the Company’s common stock as of the commitment date.
Conversion of Preferred Stock
Immediately prior to the closing of the IPO on January 29, 2018, all outstanding shares of preferred stock were automatically converted into an aggregate of 4,702,116 shares of the Company’s common stock.
Stock-Based Compensation
The Company records stock-based compensation expense related to stock options and RSUs. For the years ended December 31, 2018 and 2017, the Company recorded expense of $1,615,470 and $412,312, respectively. As of December 31, 2018, there was $3,730,911 of unrecognized stock-based compensation expense (of which $396,924 related to non-employee grants, which are subject to fair value adjustments), which the Company expects to recognize over a weighted average period of 2.2 years.
| F-18 |
EYENOVIA, INC.
NOTES TO FINANCIAL STATEMENTS
FOR THE YEARS ENDED DECEMBER 31, 2018 AND 2017
Note 10 – Stockholders’ Equity – Continued
Restricted Stock Units
On July 24, 2018, the Company granted an aggregate of 20,165 RSUs to its directors under the 2018 Plan. The grants vest on the earlier of (i) the one-year anniversary of the date of grant and (ii) the date of the 2019 annual stockholders meeting, subject to the grantee remaining on the Board until then. The RSUs had a grant date fair value of $125,000, which will be recognized over the vesting period.
Stock Options
On July 7, 2017, the Company granted ten-year stock options to purchase an aggregate of 897,747 shares of common stock to its employees and consultants under the 2014 Plan. Of the 897,747 shares, (i) 100,002 vest monthly over 12 months beginning on the one-month anniversary of the date of grant, subject to continued service to the Company, (ii) 797,745 shares vest monthly over 36 months beginning on the one-month anniversary of the date of grant, subject to continued service to the Company. The stock options have an exercise price of $1.95 per share. The stock options had an aggregate grant date fair value of $1,585,700, which the Company expects to recognize over the vesting period.
On April 16, 2018, the Compensation Committee of the Board of Directors approved the grant of ten-year stock options to purchase 175,668 shares of common stock to Company employees and consultants under the 2014 Plan. The stock options will vest in equal monthly increments over 36 months beginning on the one-month anniversary of the date of grant, subject to continued service to the Company, and have an exercise price of $8.72 per share, which was the closing stock price on the date of grant. The stock options had a grant date fair value of $1,412,700, which the Company expects to recognize over the vesting period.
During the year ended December 31, 2018, the Company granted ten-year stock options to purchase an aggregate of 395,999 shares of common stock to its employees, consultants and directors under the 2018 Plan. Of the 395,999 shares, (i) 313,674 vest over three years from the date of grant with one-third vesting on the one-year anniversary of the date of grant and the balance vesting monthly over the remaining 24 months, subject to continued service to the Company, (ii) 60,000 vest monthly over 36 months beginning on the one-month anniversary of the date of grant, subject to continued service to the Company, and (iii) 22,325 vest on the earlier of the one-year anniversary of the date of grant and the date of the 2019 annual stockholders meeting, subject to continued service to the Company. The stock options have exercise prices ranging from $5.10 per share to $6.30 per share, which represents the Company’s closing stock price on the date of grant. The stock options had a grant date value of $2,237,800, which the Company expects to recognize over the vesting period.
In applying the Black-Scholes option pricing model to stock options granted, the Company used the following approximate assumptions:
| For the Year Ended | ||||||||
| December 31, | ||||||||
| 2018 | 2017 | |||||||
| Expected term (years) | 5.50 - 10.00 | 5.32 - 10.00 | ||||||
| Risk free interest rate | 2.69 - 3.24 | % | 1.95 - 2.39 | % | ||||
| Expected volatility | 140 -141 | % | 130 | % | ||||
| Expected dividends | 0.00 | % | 0.00 | % | ||||
The Company has computed the fair value of stock options granted using the Black-Scholes option pricing model. Option forfeitures are accounted for at the time of occurrence. The expected term used for options issued to non-employees is usually the contractual life and the expected term used for options issued to employees and directors is the estimated period of time that options granted are expected to be outstanding. The Company utilizes the “simplified” method to develop an estimate of the expected term of “plain vanilla” employee option grants. The Company does not currently have a sufficient trading history to support its historical volatility calculations. Accordingly, the Company is utilizing an expected volatility figure based on a review of the historical volatility of three comparable entities over a period of time equivalent to the expected life of the instrument being valued. The risk-free interest rate was determined from the implied yields from U.S. Treasury zero-coupon bonds with a remaining term consistent with the expected term of the instrument being valued.
| F-19 |
EYENOVIA, INC.
NOTES TO FINANCIAL STATEMENTS
FOR THE YEARS ENDED DECEMBER 31, 2018 AND 2017
Note 10 – Stockholders’ Equity – Continued
Stock Options – Continued
The weighted average estimated grant date fair value of the stock options granted for the years ended December 31, 2018 and 2017 was approximately $6.39 and $1.77 per share, respectively.
A summary of the option activity during the year ended December 31, 2018 is presented below:
| Weighted | ||||||||||||||||
| Weighted | Average | |||||||||||||||
| Average | Remaining | Aggregate | ||||||||||||||
| Number of | Exercise | Life | Intrinsic | |||||||||||||
| Options | Price | In Years | Value | |||||||||||||
| Outstanding January 1, 2018 | 1,684,416 | $ | 1.68 | |||||||||||||
| Granted | 571,667 | 6.94 | ||||||||||||||
| Exercised | (28,965 | ) | 1.95 | |||||||||||||
| Forfeited | (6,250 | ) | 8.72 | |||||||||||||
| Outstanding December 31, 2018 | 2,220,868 | $ | 3.01 | 8.0 | $ | 2,007,405 | ||||||||||
| Exercisable December 31, 2018 | 1,269,295 | $ | 1.80 | 7.1 | $ | 1,628,480 | ||||||||||
The following table presents information related to stock options as of December 31, 2018:
| Options Outstanding | Options Exercisable | |||||||||||
| Weighted | ||||||||||||
| Outstanding | Average | Exercisable | ||||||||||
| Exercise | Number of | Remaining Life | Number of | |||||||||
| Price | Options | In Years | Options | |||||||||
| $1.24 | 760,001 | 6.2 | 760,001 | |||||||||
| $1.95 | 868,782 | 8.5 | 447,754 | |||||||||
| $4.00 | 2,000 | - | - | |||||||||
| $5.10 | 6,000 | - | - | |||||||||
| $5.19 | 16,500 | - | - | |||||||||
| $5.25 | 26,668 | 7.8 | 14,584 | |||||||||
| $6.20 | 311,499 | - | - | |||||||||
| $6.30 | 60,000 | 9.5 | 8,333 | |||||||||
| $8.72 | 169,418 | 9.3 | 38,623 | |||||||||
| 2,220,868 | 7.1 | 1,269,295 | ||||||||||
Stock Warrants
On September 27, 2017, the Company issued a warrant to purchase 61,875 shares of common stock at an exercise price of $6.98 per share to an investor for cash consideration of $431,574, which was included within additional paid-in capital on the balance sheet as of December 31, 2017. The warrant is exercisable any time through September 27, 2027. The warrant was sold to an investor for the amount of the investment in excess of what was permitted to be purchased of Series B Convertible Preferred Stock.
During the year ended December 31, 2018, warrants to purchase an aggregate of 61,875 shares of common stock with an exercise price of $0.04 per share were exercised on a cashless basis, which resulted in the issued of an aggregate of 61,385 shares of common stock.
| F-20 |
EYENOVIA, INC.
NOTES TO FINANCIAL STATEMENTS
FOR THE YEARS ENDED DECEMBER 31, 2018 AND 2017
Note 10 – Stockholders’ Equity – Continued
Stock Warrants - Continued
A summary of the warrant activity during the year ended December 31, 2018 is presented below:
| Weighted | ||||||||||||||||
| Weighted | Average | |||||||||||||||
| Average | Remaining | Aggregate | ||||||||||||||
| Number of | Exercise | Life | Intrinsic | |||||||||||||
| Warrants | Price | In Years | Value | |||||||||||||
| Outstanding January 1, 2018 | 61,875 | 6.98 | ||||||||||||||
| Granted | - | - | ||||||||||||||
| Exercised | (61,875 | ) | (6.98 | ) | ||||||||||||
| Forfeited | - | - | ||||||||||||||
| Outstanding December 31, 2018 | - | $ | - | - | $ | - | ||||||||||
| Exercisable December 31, 2018 | - | $ | - | - | $ | - | ||||||||||
Note 11 – Subsequent Events
Stock Options
On January 2, 2019, stock options to purchase 180,000 and 133,686 shares of common stock with an exercise price of $1.24 and $1.95 per share, respectively, were exercised for aggregate proceeds of $483,888.
On February 6, 2019, stock options to purchase an aggregate of 320,001 shares of common stock with an exercise price of $1.24 per share were exercised on a cashless basis, which resulted in the issuance of an aggregate of 236,466 shares of common stock.
On February 13, 2019, the Board of Directors of the Company approved the acceleration and immediate vesting of 124,210 stock options originally granted to Dr. Ianchulev on July 24, 2018 in connection with his employment.
Employment Agreements
Effective February 15, 2019, the Company entered into at-will executive employment agreements with Tsontcho Ianchulev, its Chief Executive Officer and Chief Medical Officer, John Gandolfo, its Chief Financial Officer, Jennifer Clasby, its Vice President, Clinical Operations, Luke Clauson, its Vice President, Research and Development and Manufacturing, and Michael Rowe, its Vice President, Marketing.
Each of the employment agreements provides that if the executive’s employment is terminated by the Company without “Cause” or the executive suffers an “Involuntarily Termination” (each as defined in the employment agreements), provided that the executive has signed a full release of all claims, the executive will be entitled to receive: (i) severance pay equal to three months of his or her then-current base salary (currently estimated at approximately $419,000 in the aggregate), and (ii) a reimbursement for health insurance benefits under COBRA for the executive and his or her spouse and dependents for a period of three months or until the executive becomes eligible for comparable insurance benefits from another employer, whichever is earlier.
Each of the employment agreements also provides that if within 12 months following any “Corporate Transaction” (as defined in the employment agreements) of the Company, if the executive’s employment is terminated by the Company without Cause or the executive suffers an Involuntary Termination, provided that the executive has signed a full release of all claims, the executive will be entitled to receive, in lieu of what is described in the above paragraph: (i) severance pay equal to 12 months of his or her then-current base salary (currently estimated at approximately $1,677,000 in the aggregate), and (ii) a reimbursement for health insurance benefits under COBRA for the executive and his or her spouse and dependents for a period of 12 months or until the executive becomes eligible for comparable insurance benefits from another employer, whichever is earlier.
| F-21 |